General equations used
| 
 | 
 | 
| Where m is a specific mass of belt defined as m = S ρ | 
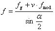
Modified friction factor of given pulley
| 
 | 
 | 
| 
 | f = f g + v f mod | 
Driver pulley and belt fundamental equations
power to transmit
 
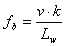
Belt speed
 
Belt flexing frequency
 
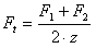
Effective pull (or effective tension)
 
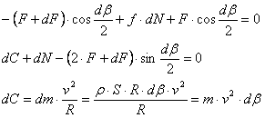
Centrifugal force
Fc = z m v 2
Tension in belt spans
In the following equations, the application first determines the most suspicious pulley what requires the maximum belt installation tension to transmit a load. Then the belt tension in each span is adjusted for all pulleys accordingly with respect to initial belt installation tension.
| 
 | 
 | 
| F 1i - F p P xi - F 2i = 0 | |
| 
 | |
| 
 | 
The most suspicious pulley criteria is maximum tight side tension
F 1max = max (F 1i )
The total maximum tension in belt span (per belt) when the belt drive is under full load is determined as
 
Where expression “k 1 F 1max ” is the actual maximum tension in belt span considered for all belts in the belt drive. In this manner, all corresponding tensions in individual spans are re-computed to fulfill following condition:
F 1i - F P P xi - F 2i = 0
Resultant axle load for each pulley when the belt drive is under full load
 
 
Belt initial installation tension and static tensioning force
The required belt initial installation tension (per belt) can be adjusted by tensioning factor and then determined as follows:
 
Static tensioning force F v is determined for each pulley. The application computes the tensioning force that performs along the centerline of belt spans as follows:
| 
 | 
 | 
Meaning of used variables:
| F | Tangential force [N] | 
| β | Arc of contact [deg] | 
| α | Wedge angle [deg] | 
| C | Centrifugal force [N] | 
| N | Normal force [N] | 
| m | Specific belt mass [kg/m] | 
| v | Belt speed [m/s] | 
| R | Pulley radius [m] | 
| S | Belt cross section area [m 2 ] | 
| T | Torque acting on given pulley [Nm] | 
| D p | Pulley pitch diameter [m] | 
| k | Number of pulleys [-] | 
| P | power to transmit [N] | 
| v | Belt speed [m/s] | 
| F c | Centrifugal force [N] | 
| F 1 | Tension in belt span on input for given pulley [-] | 
| F 2 | Tension in belt span on output for given pulley [-] | 
| f | Modified friction factor of given pulley [-] | 
| P x | Power ratio of given pulley [-] | 
| f g | Friction factor of the given pulley material and belt [-] | 
| f mod | Speed factor of friction modification [s/m] | 
| Z | Number of belts [-] | 
| ρ | Belt density [kg/m3] | 
| F t | Belt initial installation tension [N | 
| F v | Static tensioning force for given pulley [N] | 
| k 1 | Belt tension factor [-] |