 
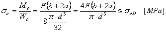
Bending stress

Pressure in rod

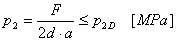
Pressure in clevis

Shear stress

where:
| F | force [N] | |
| σ 0 | bending stress [MPa] | |
| σ 0D | allowable bending stress [MPa] | |
| M 0 | bending moment [N mm] | |
| W 0 | bending section modulus [mm 3 ] | |
| τ | shear stress [MPa] | |
| τ D | allowable shear stress [MPa] | |
| d | pin diameter [mm] | |
| p 1 | pressure in rod [MPa] | |
| p 2 | pressure in clevis [MPa] | |
| p 1D | allowable pressure in rod [MPa] | |
| p 2D | allowable pressure in clevis [MPa] | |
| b | rod width [mm] | |
| a | clevis arm width [mm] |