Transferred torque
 
   
 
where:
| P | transferred power [Kw] | |
| n | speed [min -1 ] | 
Pressure on groove supporting surface
1. shaft inside diameter d h > 0
a) 
   
 
b) if d min ≤d h -> d min = 1.1 d h [mm]
c) if d min ≤ 1.5 d h -> d min = 1.5 d h [mm]
2. shaft inside diameter d h = 0
 
   
 
where:
| d min | minimal shaft diameter [mm] | |
| d h | shaft inside diameter [mm] | |
| T | torque [Nm] | |
| K a | application factor | |
| K f | fatigue-life factor | |
| S v | desired safety | |
| τ Al | Allowable Shear Stress | 
Minimum splines length to transfer the torque
| 1. Fixed connection: |  | 
| 2. Flexible connection: |  | 
| where: | 
| T | torque [Nm] | |
| K a | application factor | |
| K f | wear-life factor | |
| K w | application factor | |
| K m | load distribution factor | |
| S v | desired safety | |
| d s | middle diameter = (D + d) / 2 [mm] | |
| D | outside diameter of groove section [mm] | |
| d | inside diameter of groove section [mm] | |
| N | number of grooves [-] | |
| h | height of groove = (D - d) / 2 [mm] | |
| s | chamfer [mm] | |
| h st | connection height h st = h - 2 s [mm] | |
| p Dmin | allowable pressure on supporting surface of shaft or groove [MPa] | 
Allowable pressure
| 1. Fixed connection: |  | 
| 2. Flexible connection: |  | 
| where: | 
| T | torque [Nm] | |
| K a | application factor | |
| K f | wear-life factor | |
| K w | application factor | |
| K m | load distribution factor | |
| S v | desired safety | |
| d s | middle diameter = (D + d) / 2 [mm] | |
| D | outside diameter of groove section [mm] | |
| d | inside diameter of groove section [mm] | |
| N | number of grooves [-] | |
| h | height of groove = (D - d) / 2 [mm] | |
| s | chamfer [mm] | |
| h st | connection height h st = h - 2 s [mm] | |
| l f | active key length [mm] | 
Strength Check
p min ≤ p ds
p min ≤ p dh
where:
| p min | minimal calculated h/2 pressure [MPa] | |
| p ds | allowable pressure in shaft [MPa] | |
| p dh | allowable pressure in hub [MPa] | 
Metric calculation according to CSN 01 4950
Bending stress
 
   
 
where:
| s sf | shaft chordal tooth dedendum thickness | s sf = 2.17m | |
| h | shaft tooth height | h = 1.1m - 0.05 | centering to tooth sides, flat groove bottom | 
| h = 1.28m - 0.05 | centering to tooth sides, round groove bottom | ||
| h = 1.2 m | outside centering | 
Pressure on groove supporting groove surface
 
   
 
where:
| h n | load bearing spline height | h n = 0.9 m - 0.05 | 
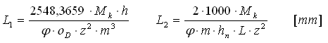
Minimum splines length
L min = max {L 1 , L 2 } [mm]
where:
 
   
 
Recommended values: L = (0.8 - 1.6) D
Splines check
p ≤ p d and σ≤σ d
where:
| P | transferred power [kW] | |
| n | speed [min -1 ] | |
| z | tooth number [-] | |
| p D | allowable pressure on contact surfaces of teeth [MPa] | |
| σ D | allowable bending stress [MPa] | |
| L | active spline length [mm] | |
| D | nominal spline diameter [mm] | |
| ϕ | factor of tooth side contact |