 
Transferred torque

where:
| P | power [kW] | |
| n | speed [rpm] | 
Calculation of Minimum Shaft Diameter
1. shaft inside diameter d h > 0
a)  
 
b) if d min ≤d h -> d min = 1.1 d h [mm]
c) if d min ≤ 1.5 d h -> d min = 1.5 d h [mm]
2. shaft inside diameter d h = 0

where:
| d min | minimal shaft diameter [mm] | |
| d h | shaft inside diameter [mm] | |
| T | torque [Nm] | |
| K a | application factor | |
| K f | fatigue-life factor | |
| S v | desired safety | |
| τ A | Allowable Shear Stress | 
General calculation
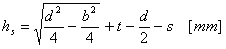
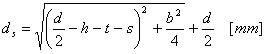
|  | the range of force activity on the shaft | 
| h k = h - h s - 2 s [mm] | the range of force activity on the hub | 
|  | shaft diameter of the range of the force activity | 
|  | hub diameter of the range of the force activity | 
|  | force on shaft | 
|  | force on hub | 
| where: | 
| T | torque [Nm] | |
| F s | force on shaft [N] | |
| F h | force on hub [N] | |
| K a | application factor | |
| K f | wear-life factor | |
| K w | application factor | |
| K m | load distribution factor | |
| S v | desired safety | |
| d | shaft diameter [mm] | |
| d s | shaft diameter where force F s actuates [mm] | |
| d h | shaft diameter where force F d actuates [mm] | |
| N | number of grooves [-] | |
| h | height of groove | |
| h s | height of force point of action on shaft [mm] | |
| h h | height of force point of action on hub [mm] | |
| b | width of groove | |
| t | groove depth in shaft [mm] | |
| s | chamfer | |
| p Dmins | minimal allowable pressure (groove, shaft) [MPa] | |
| p Dminh | minimal allowable pressure (groove, hub) [MPa] | 
Minimum key length to transfer the torque
| 1. Fixed connection: | a) | 
| b) | |
| L min = min(L mins , L minh ) | |
| 2. Flexible connection: | a) | 
| b) | |
| L min = min(L mins , L minh ) | |
| where: | 
| F s | force on shaft [N] | |
| F h | force on hub [N] | |
| K a | application factor | |
| K f | wear-life factor | |
| K w | application factor | |
| K m | load distribution factor | |
| S v | desired safety | |
| d | shaft diameter [mm] | |
| N | number of grooves [-] | |
| h s | height of force point of action on shaft [mm] | |
| h h | height of force point of action on hub [mm] | |
| p Dmins | minimal allowable pressure (groove, shaft) [MPa] | |
| p Dminh | minimal allowable pressure (groove, hub) [MPa] | 
Minimal Allowable pressure
| 1. Fixed connection: | a) | 
| b) | |
| 2. Flexible connection: | a) | 
| b) | |
| where: | 
| F s | force on shaft [N] | |
| F h | force on hub [N] | |
| K a | application factor | |
| K f | wear-life factor | |
| K w | application factor | |
| K m | load distribution factor | |
| S v | desired safety | |
| d | inside diameter of groove section [mm] | |
| N | number of grooves [-] | |
| h s | height of force point of action on shaft [mm] | |
| h h | height of force point of action on hub [mm] | |
| l f | active key length [mm] | 
Strength Check
p mins ≤ p Ds
p minh ≤ p Dh
where:
| p mins | minimal calculated shear pressure in shaft [MPa] | |
| p minh | minimal calculated shear pressure in hub [MPa] | |
| p Ds | allowable pressure in shaft [Mpa] | |
| p Dh | allowable pressure in hub [Mpa] | 
Simplified calculation
Minimum key length to transfer the torque
| 1. Fixed connection: |  | 
| 2. Flexible connection: |  | 
| where: | 
| T | torque [Nm] | |
| K a | application factor | |
| K f | wear-life factor | |
| K w | application factor | |
| K m | load distribution factor | |
| S v | desired safety | |
| d | shaft diameter [mm] | |
| N | number of grooves [-] | |
| h | height of groove | |
| s | chamfer | |
| h st | connection height h st = h - 2 s [mm] | |
| p Dmin | allowable pressure on supporting surface of shaft, groove, or hub [MPa] | 
Allowable pressure
| 1. Fixed connection: |  | 
| 2. Flexible connection: |  | 
| where: | 
| T | torque [Nm] | |
| K a | application factor | |
| K f | wear-life factor | |
| K w | application factor | |
| K m | load distribution factor | |
| S v | desired safety | |
| d | shaft diameter [mm] | |
| N | number of grooves [-] | |
| h | height of groove | |
| s | chamfer | |
| h st | connection height h st = h - 2 s [mm] | |
| l f | active key length [mm] | 
Strength Check
p min ≤ p Ds
p min ≤ p Dh
where:
| p min | minimal calculated h/2 pressure [MPa] | |
| p Ds | allowable pressure in shaft [Mpa] | |
| p Dh | allowable pressure in hub [Mpa] |