To determine the number of belts required or do a strength check of the belt drive, the application compares the belt power rating with the power to transmit. To get the belt power rating, the base belt power rating is used and corrected by specific factors determined from the given belt drive layout.
Base belt power rating P BR
The base belt power rating is determined by formulas defined within an XML data table and stored within Design Data folders. Each belt provided within a V-belt generator is described by a specific XML file that contains all belt available sizes as well as required mechanical properties. The base power formulas and factors used within the formulas are taken from standard recommendations that may differ from real manufacturer data. You can customize the base belt power rating and provide real data from belt manufacturer catalogs. Usually the standard recommended power rating is more conservative and provides potential level of belt manufacturer interchangeability, however the belt drive might be over-designed.
In general, the base belt power rating is a function of speed, pitch diameter, and speed ratio of the smallest pulley (driver or driven pulley).
P RB = F(n j , D Pj , i j )
Belt power rating P R
P R = P RB c 1 c 3 c 4 c 5
Resultant service factor
 
Strength check fails if resultant service factor C PR < C p
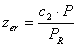
Number of belts required
 
Over-tensioning inspection
Maximum allowable tension in belt is determined as
 
Strength check fails if F max < F t max or F max < F t
Valid belt speed and flexing frequency inspection
If belt flex frequency f b > f max the reduced efficiency and premature belt damage might appear. The error warning is displayed.
If belt speed v > v max the error warning is displayed as the belt is not designed for such speed.
Meaning of used variables:
| f max | Maximum belt flex frequency [Hz] | 
| f b | Belt flex frequency for given belt drive [Hz] | 
| n | Speed of given pulley [rmp] | 
| D P | Flat pulley nominal and outside diameter [m] | 
| i | Transmission ratio (speed ratio) of given pulley [-] | 
| c 1 | Arc of contact correction factor [-] | 
| c 2 | Service factor [-] | 
| c 3 | Belt length correction factor [-] | 
| c 4 | Number of belts correction factor [-] | 
| c 5 | Number of pulleys correction factor [-] | 
| z | Number of belts [-] | 
| P R | Belt power rating for given transmission layout [W] | 
| P | power to transmit [W] | 
| v | Belt speed [m/s] | 
| v max | Maximum allowable belt speed [m/s] |