Shaft Calculation Formulas

These formulas are used to solve either a shaft (with one or more sections) or a beam (with one constant section) with multiple supports and loads.

The shaft/beam axis is aligned with the Z axis. If the impact of the material density is included in the calculation, the gravity vector is aligned with the Y axis.

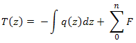
Shear forces:

Bending moments:

Deflection angle:

where:

 

E

modulus of elasticity in tension

 

J

moment of inertia

 

G

modulus of rigidity

  β

shear displacement ratio

Deflection:

Bending stress:

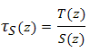
Shear stress:

Torsion stress:

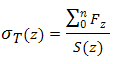
Tension stress:

Reduced stress:

where:

  σ B bending stress
  σ T

tension stress

  τ torsion stress
  τ S shear stress
  α α = 3 for HMH
    α = 4 for Tresca-Guest

Sample Calculation

Modulus of elasticity E = 210 000 MPa

Modulus of rigidity G = 81 000 MPa

Shear displacement ratio β = 1.118

Mode of reduced stress: HMH

Do not include the material density.

Support Forces:

Maximal shear stress:

Maximal torsion stress:

Maximal moment:

Maximal bending stress:

Maximal reduced stress:

Angle of twist: