Calculating V-Belt Strength Proportions

General equations used

Where m is a specific mass of belt defined as m = S ρ

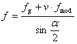
Modified friction factor of given pulley

f = f g + v f mod

Driver pulley and belt fundamental equations

power to transmit

Belt speed

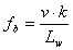
Belt flexing frequency

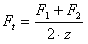
Effective pull (or effective tension)

Centrifugal force

Fc = z m v 2

Tension in belt spans

In the following equations, the application first determines the most suspicious pulley what requires the maximum belt installation tension to transmit a load. Then the belt tension in each span is adjusted for all pulleys accordingly with respect to initial belt installation tension.

F 1i - F p P xi - F 2i = 0

The most suspicious pulley criteria is maximum tight side tension

F 1max = max (F 1i )

The total maximum tension in belt span (per belt) when the belt drive is under full load is determined as

Where expression “k 1 F 1max ” is the actual maximum tension in belt span considered for all belts in the belt drive. In this manner, all corresponding tensions in individual spans are re-computed to fulfill following condition:

F 1i - F P P xi - F 2i = 0

Resultant axle load for each pulley when the belt drive is under full load

Note: For driven pulleys and idlers the F 1 and F 2 are reversed within the generator so the F 1 is belt span tension on input and F 2 is belt span tension on output in sense of belt motion.

Belt initial installation tension and static tensioning force

The required belt initial installation tension (per belt) can be adjusted by tensioning factor and then determined as follows:

Static tensioning force F v is determined for each pulley. The application computes the tensioning force that performs along the centerline of belt spans as follows:

Meaning of used variables:

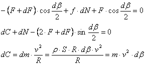
F Tangential force [N]
β Arc of contact [deg]
α Wedge angle [deg]
C Centrifugal force [N]
N Normal force [N]
m Specific belt mass [kg/m]
v Belt speed [m/s]
R Pulley radius [m]
S Belt cross section area [m 2 ]
T Torque acting on given pulley [Nm]
D p Pulley pitch diameter [m]
k Number of pulleys [-]
P power to transmit [N]
v Belt speed [m/s]
F c Centrifugal force [N]
F 1 Tension in belt span on input for given pulley [-]
F 2 Tension in belt span on output for given pulley [-]
f Modified friction factor of given pulley [-]
P x Power ratio of given pulley [-]
f g Friction factor of the given pulley material and belt [-]

f mod

Speed factor of friction modification [s/m]
Z Number of belts [-]
ρ Belt density [kg/m3]
F t Belt initial installation tension [N
F v Static tensioning force for given pulley [N]
k 1 Belt tension factor [-]
Note: i - index of the pulley