Separated Hub Formulas for English Calculation

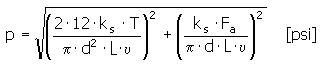
Contact pressure

Minimum hub length

Recommended values: L = (0.6 - 3) d

Force carried by one bolt

Strength check

p p A

where:

 

F a

axial force [lb]

 

T

torque [lb ft]

 

d

shaft diameter [in]

 

p

contact pressure in a joint [psi]

 

p A

allowable pressure [psi]

 

L

hub length [in]

  υ

clamping factor υ = 0.008 to 0.1 [-]

 

k s

slip safety [-]

 

F

force carried by one bolt [lb]

 

F s

force carried by all bolts [lb]

 

i

total number of bolts [-]