ExposureContrast

The ExposureContrast element simulates adjusting the exposure of an image, and also modifies the contrast between light and dark colors.

It is an Autodesk extension to the Academy/ASC XML color transform format.

If a color transform is used for display, then depending on the application users can still adjust the exposure and contrast interactively as long as the CTF file contains at least one ExposureContrast element with DynamicParameter sub-elements. In this case, the corresponding parameter values defined in the ECParams sub-element are ignored for display only, and instead the values set in the application are applied at each point in the transform chain that an ExposureContrast element with DynamicParameter sub-elements occurs.

Introduced

Version 1.2.

Contains

Contained By

Attributes

id, name, bypass, inBitDepth, outBitDepth
See Common Operator Attributes.
style
Declares the input data type. Required.
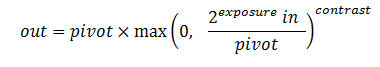
Note: The following equations assume that the input and output bit-depths are floating-point. For integers, the values are normalized to [0.0, 1.0]. In other words, the exposure offset, contrast level, and pivot values stored in the CTF file do not depend on the input and output bit depths.
Value Meaning
"linear"
"video"
"log"

Example

<ProcessList id="561c5aba-8709-477c-8211-7ec4a6fe8820">
   <ExposureContrast inBitDepth="16f" outBitDepth="32f" style="linear">
      <ECParams exposure="0.65" contrast="1.2" pivot="1" />
      <DynamicParameter param="EXPOSURE" />
      <DynamicParameter param="CONTRAST" />
   </ExposureContrast>
</ProcessList>