Returns the magnitude of a vector. This is the length of the vector.

float mag(vector vector)
vector is the vector whose magnitude you want.
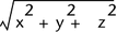
The mag function converts a vector into a floating point number using the following formula.
mag(<<7,8,9>>)
Returns 13.928.