Both the porosity and the permeability of the fiber-mat affect the filling pattern in a Reactive Molding analysis.
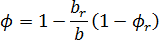
The porosity of the preform is described by the following equation: 
where:
is the porosity
is the thickness of the fiber-mat
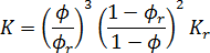
are those at the specified reference thickness The permeability of the preform is described by the following equation:
where
is the permeability.