Cross-sectional shape equivalents for beam elements

To simplify calculations, beam elements with non-round cross-sectional shapes can be converted to equivalent circular beams.

Heat transfer of the original shape also needs to be considered. A shape factor, which is the ratio of the outer circumference of the actual cross-sectional shape to the circumference of the circular beam with equivalent cross-sectional area, makes adjustments for the additional surface area the converted beam should have.

Supported cross-sectional shapes for beam elements

The following table lists the available cross-sectional shapes and the required dimensions to define them.

Shape Required dimensions
Circular Diameter (2r)
Annular Outer diameter (do), inner diameter (di)
Semicircular Diameter (2r), height (t)
Rectangular Width (a), height (b)
Trapezoidal Top width (b), bottom width (a), height (h)
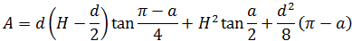
U-shape (rounded trapezoidal), where H=d Width (W), height (H)
U-shape (rounded trapezoidal), where H > d Width (W), height (H), diameter (d)
Ellipse Long radius (a), short radius (b)
Other Equivalent diameter, shape factor
Attention: For U shaped beams, ensure that the height is never greater than the width. If you enter a height value greater than the width, the software will set H = W.

Equivalent diameter and shape factor for non-round beam cross-sectional shapes

The following table illustrates the required dimensions to define non-round beam cross-sectional shapes and presents the calculations that define equivalent diameter and shape factor for each beam shape.

Note: Circular and annular beam shapes are solved explicitly by the analysis. It is not necessary to calculate an equivalent diameter or shape factor for circular or annular beam shapes.
 Shape Cross-sectional geometry Equivalent diameter, based on equivalent cross-sectional area Shape factor
Semicircular

Rectangular
Rectangular
Trapezoidal
U-shape (or rounded trapezoidal), where H=d
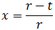
U-shape (or rounded trapezoidal), where H > d

where

where

Elliptical
Attention: In the formulas presented above, angle measurements must be given in radians (not degrees).
Attention: For U shaped beams, ensure that the height is never greater than the width. If you enter a height value greater than the width, the software will set H = W.

Worked example

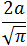
A rectangular shaped runner has a cross-sectional width (a) of 5 mm and height (b) of 3 mm.

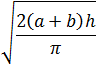
Using the formula above, this runner could be modeled by a circular beam element with a diameter of

or 4.37 mm.

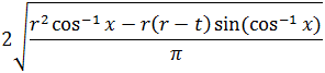
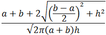
The runner would need a shape factor of

or 1.16.

When modeling this beam element, select Edit (Geometry tab > Properties panel > Edit). In the Cross-section is box, select Other shape. Click Edit dimensions and enter the calculated values for Equivalent diameter (4.37) and Shape factor (1.16) in the Cross-Sectional Dimensions dialog that appears.