Allowable Stress

X: Strong axis

Y: Weak axis

Z: Primary axis

Variable Description
α Rotation angle for principal axes of angle section
A Cross-sectional area
Af Area of compression flange
As Shear area for tubular member - pipe
Asx X shear area of prismatic member
Asy Y shear area of prismatic member
b Width of member (b ≤ d)
b0

Distance from neutral axis to edge of web:

be Effective width of structural tubing member
bf Width of flange
Cb Bending coefficient dependent upon moment gradient (section F)
Cc Column slenderness ratio separating elastic and inelastic buckling (section E)
Cmx, Cmx Coefficient applied to bending term in interaction equation (section H)
d Depth of member (d ≥  b)
E Modulus of elasticity
E0

Distance of the shear center from center line of web for channel:

E0 = e0 + tw / 2

Fa Maximum allowable compressive stress
Fb Maximum allowable bending stress
Fbx Maximum allowable strong axis bending stress
Fby Maximum allowable weak axis bending stress

Fex, Fey

Euler stress for a prismatic member divided by factor of safety
Ft Maximum allowable tensile stress
Fy Yield stress
Fn Maximum allowable shear stress
fa Computed axial stress (either tension or compression, both taken as positive)
fb Computed bending stress (taken as a positive quantity)
fbx Computed strong axis bending stress
fby Computed weak axis bending stress
fvx Computed shear stress in X direction
fvy Computed shear stress in Y direction
h

Clear distance between flanges in I-shaped members:

h = d 2tf

Ix, Iy Moments of inertia about principal axes
Iu, Iv ments of inertia about principal axes of angle section member
K ective length factor for prismatic member
L Distance between cross sections braced against twist or lateral displacement of the compression flange
Lb Laterally unsupported length of the compression flange.
Lc Maximum unbraced length of the compression flange.
Lx, Ly L in X and Y directions
M1, M2 Smaller and larger moment at end of unbraced length, respectively.
P Axial force load
r Governing radius of gyration
rT Radius of gyration of a section comprising the compression flange plus 1/3 of the compression web area, taken about an axis in the plane of the web
rx, ry Radius of gyration about principal axes
t Thickness
tf Thickness of flange
U, V Principal axes of angle section member
u, v Distances from principal axes
x, y Offsets of centroid of angle section

Allowable Stresses

X is the strong axis, and Y is the weak axis for all I-shaped and members and channels. Tees can have either axis as their strong axis.

1. Strong Axis Bending Stress

  • Members loaded along their weak axis, Y (bent about their strong axis, X).
  • This maximum allowable strong axis bending stress is referred to as Fb in this section.
  • Two categories are considered:
    1. I-shaped members, tees and channels
    2. Pipes and structural tubing, including square and rectangular ducts and pipes

1.A. Members with compact sections

    Category I. I-shaped members, tees and channels Section F1.1

  • Includes tees with compact flanges.
  • Tees loaded along then X-axis are not considered, in this code check.
  • Applicable to all I-shaped and members and channels, and tees with Ixx > Iyy. Tees with Ixx Iyy are not considered in code check.

The allowable bending stress is

Fb = 0.66 Fy (F1-1)

with the constraint that Lb Lc, which is given by the smaller of:

(F1-2)

    Category II. Pipes and structural tubing Section F3.1

    The allowable bending stress is

  • Fb = 0.66 Fy (F3-1)
  • subject to the following conditions:
    • Rectangular members cannot have a depth greater than 6 times the width.
    • Lb Lc, where Lc is given by
    (F3-2)

except, that Lc need not be less than 1200 (b/Fy), M1 is the smaller and M2 is the largest bending moments about the ends of the unbraced length, taken about the strong axis.

1.B. Members with noncompact sections

  • Must satisfy constraint, Lb Lc (F1-2) or (F3-2), including that rectangular members cannot have a depth greater than 6 times the width.
  • Includes tees with noncompact flanges.
  • Tees loaded along the X-axis are not considered.

    Category I. I-shaped members, tees and channels Section F1.2

(F1-3)

    Category II. Pipes and structural tubing Section F3.2

Fb = 0.60 Fy (F3-3)

1.C. Members with compact or noncompact sections with Lb > Lc

  • The section is only applicable to Category I. I-shaped members, tees and channels.

If member is in tension,

Fb = 0.60 Fy (F1-5)

If member is in compression, the allowable bending stress is determined as the larger value from equations (F1-6) or (F1-7) and (F1-8), with the exceptions:

  • Only equation (F1-8) is used for channels.
  • None of these equations apply to tees in compression, thus such tees are not considered.

When

(F1-6)

When

(F1-7)

For any value of L/rT:

(F1-8)

Cb is conservatively taken as unity (1.0) in equations (F1-6), (F1-7) and (F1-8).

2. Weak Axis Bending Stress

  • The section is only applicable to Category I. I-shaped members, tees, channels and solid bars (prismatic members).
  • Category II. Structural tubing in this category use same value of Fb found for their strong axis for their weak axis.
  1. Members loaded along their strong axis, X (bent about their weak axis, Y).
    • This weak allowable strong axis bending stress is referred to as Fby, yet in this section it is labeled as Fb.
  2. Applicable to all I-shaped members; all others are not considered.

    2.A. Members with compact sections: Section F2.1

  • Fb = 0.75 Fy (F2-1)

    2.B. Members with noncompact sections: Section F2.2

  • (F2-3)

3. Tensile Stress

Ft = 0.60 Fy Section D1

4. Compressive Stress

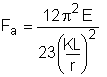
Section E2

(E2-1)

where KL/r is the largest of KLx / rx and KLy / ry, which are equal for pipes and squares, and

(E2-2)

5. Combined Stress

Chapter H

5.A. Axial compression and bending

The following requirements must be satisfied for members experiencing both axial compression and bending:

(H1-1)
(H1-2)

When fa / Fa 0.15, Equation (H1-3) is used in lieu of Equations (H1-1) and (H1-2).

(H1-3)

The coefficients, also known as the Euler stress divided by safety factor, Fex and Fey are given by the following:

The coefficients Cmx and Cmy have a default value of 0.85.

5.B. Axial tension and bending

The following requirements must be satisfied for members experiencing both axial tension and bending:

(H2-1)