This material model is available for 2D, brick and tetrahedral elements. The hyperfoam material model is a hyperelastic material model that accounts for compressibility and has three material constants. If you press the Curve fit button in the Element Material Specification dialog, you will be able to input experimental stress-strain data and the three material constants will be calculated from the experimental stress-strain data. The hyperfoam material properties are listed below. In addition to these properties, it may be necessary to define some Isotropic Material Properties.
Click the Curve Fit button on the Element Material Specification dialog to use the Curve Fitting routine. This routine calculates the material constants using measured stress-strain data.
The potential function of the material is as follows:
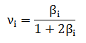
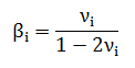
A stable material is obtained if βi > -1/3. βi is related to the Poisson's ratio by the expressions:
,
The initial shear modulus follow from:
where μiαi > 0, i = 1,..,N
The initial bulk modulus follows from:
Mu
This is the first hyperfoam material model constant (μi). This must be defined for each order of the hyperfoam material model being used.
Alpha
This is the second hyperfoam material model constant (αi). This must be defined for each order of the hyperfoam material model being used.
Beta
Beta (β) is a constant related to the Poisson's Ratio (ν) as given above.