Acerca de la geometría de ecuación de observación de acimut/orientación

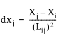
El cambio en las coordenadas de cada observación se expresa en las siguientes aproximaciones de series de Taylor de la ecuación de observación de acimut/orientación:

y

Donde

La siguiente ilustración muestra la geometría de la ecuación de observación de acimut/orientación: