La longitud de la cadena viene determinada por el número de eslabones y el número de pasos. La trayectoria de la transmisión por cadena se basa en la posición individual de las ruedas dentadas y en la dirección de movimiento deseada.
El algoritmo para calcular la longitud de la cadena utiliza los diámetros de separación de las ruedas dentadas. El diámetro de separación de cada rueda dentada o polea de la transmisión por cadena de rodillo se obtiene a partir de las siguientes ecuaciones.
La posición de la rueda dentada deslizante se ajusta según sea necesario para conseguir la longitud de cadena deseada. El cálculo utiliza álgebra lineal y soluciones de iteración para conseguir la posición correcta de la rueda dentada deslizante.
Al calcular la longitud de la cadena, se tiene en cuenta que la trayectoria está formada por segmentos lineales con una longitud de pasos de cadena y los arcos se sustituyen por polígonos reales.
Diámetros de separación
![]() |
|
|
|
donde: |
||
|
D P |
Diámetro de la separación |
|
|
p |
paso de cadena |
|
|
z |
número de dientes de la rueda dentada |
|
|
|
D p = D + D r |
|
|
donde: |
||
|
D P |
Diámetro de la separación |
|
|
D |
Diámetro nominal de la polea |
|
|
D r |
diámetro máximo de rodillo de la cadena |
|
Ejemplo de transmisión por cadena con dos ruedas dentadas
Número necesario de eslabones de cadena para la distancia al centro deseada
El número necesario de eslabones de cadena se redondea al número par o impar más cercano y, después, se determina la distancia real al centro del modo siguiente
C = F p [ 2 X - (z 1 + z 2 )]
donde:
|
|
|
|
|
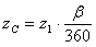
El ángulo de contacto se determina como
|
|
Número de dientes en contacto con la rueda dentada más pequeña
|
|
Significado de las variables utilizadas:
|
C 0 |
Distancia al centro deseada [m] |
|
C |
Distancia al centro real [m] |
|
p |
Paso de cadena [m] |
|
z 1 |
Número de dientes de la rueda dentada motriz [-] |
|
z 2 |
Número de dientes de la rueda dentada conducida [-] |
|
D P1 |
Diámetro de separación de la rueda dentada motriz [m] |
|
D P2 |
Diámetro de separación de la rueda dentada conducida m] |
|
X 0 |
Número necesario de eslabones de la cadena [-] |
| β |
Ángulo de contacto [gr] |