Par de torsión transferido
donde:
|
P |
potencia [kW] |
|
|
n |
velocidad [rpm] |
Cálculo del diámetro de eje mínimo
1. diámetro interior del eje d h > 0
a)
b) si d mín ≤d h -> d mín = 1,1 d h [mm]
c) si d mín ≤ 1,5 d h -> d mín = 1,5 d h [mm]
2. diámetro interior del eje d h = 0

donde:
|
d mín |
diámetro mínimo del eje [mm] |
|
|
d h |
diámetro interior del eje [mm] |
|
|
T |
par de torsión [Nm] |
|
|
K a |
factor de aplicación |
|
|
K f |
factor de vida útil de fatiga |
|
|
S v |
seguridad deseada |
|
|
τ A |
Tensión de corte admitida |
Cálculo general
|
|
rango de la actividad de la fuerza en el eje |
|
h k = h - h s - 2 s [mm] |
rango de la actividad de la fuerza en la brida |
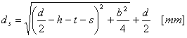
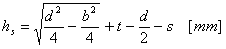
![]() |
diámetro del eje en el rango de la actividad de la fuerza |
![]() |
diámetro de la brida en el rango de la actividad de la fuerza |
|
|
fuerza en el eje |
|
|
fuerza en la brida |
|
donde: |
|
T |
par de torsión [Nm] |
|
|
F s |
fuerza en el eje [N] |
|
|
F h |
fuerza en la brida [N] |
|
|
K a |
factor de aplicación |
|
|
K f |
factor de vida útil de desgaste |
|
|
K w |
factor de aplicación |
|
|
K m |
factor de distribución de la carga |
|
|
S v |
seguridad deseada |
|
|
d |
diámetro del eje [mm] |
|
|
d s |
diámetro del eje donde actúa la fuerza F s [mm] |
|
|
d h |
diámetro del eje donde actúa la fuerza F d [mm] |
|
|
N |
número de ranuras [-] |
|
|
h |
altura de la ranura |
|
|
h s |
altura de punto de fuerza de acción en el eje [mm] |
|
|
h h |
altura de punto de fuerza de acción en la brida [ mm] |
|
|
b |
anchura de la ranura |
|
|
t |
profundidad de ranura en el eje [mm] |
|
|
s |
chamfer |
|
|
p Dmins |
presión mínima admitida (ranura, eje) [MPa] |
|
|
p Dminh |
presión mínima admitida (ranura, brida) [MPa] |
Longitud mínima de chaveta para transferir el par de torsión
|
1. Conexión fija: |
a) |
|
b) |
|
|
L mín = mín(L mins , L minh ) |
|
|
2. Conexión flexible: |
a) |
|
b) |
|
|
L mín = mín(L mins , L minh ) |
|
|
donde: |
|
F s |
fuerza en el eje [N] |
|
|
F h |
fuerza en la brida [N] |
|
|
K a |
factor de aplicación |
|
|
K f |
factor de vida útil de desgaste |
|
|
K w |
factor de aplicación |
|
|
K m |
factor de distribución de la carga |
|
|
S v |
seguridad deseada |
|
|
d |
diámetro del eje [mm] |
|
|
N |
número de ranuras [-] |
|
|
h s |
altura de punto de fuerza de acción en el eje [mm] |
|
|
h h |
altura de punto de fuerza de acción en la brida [ mm] |
|
|
p Dmins |
presión mínima admitida (ranura, eje) [MPa] |
|
|
p Dminh |
presión mínima admitida (ranura, brida) [MPa] |
Presión mínima admitida
|
1. Conexión fija: |
a) |
|
b) |
|
|
2. Conexión flexible: |
a) |
|
b) |
|
|
donde: |
|
F s |
fuerza en el eje [N] |
|
|
F h |
fuerza en la brida [N] |
|
|
K a |
factor de aplicación |
|
|
K f |
factor de vida útil de desgaste |
|
|
K w |
factor de aplicación |
|
|
K m |
factor de distribución de la carga |
|
|
S v |
seguridad deseada |
|
|
d |
diámetro interior de la sección de la ranura [mm] |
|
|
N |
número de ranuras [-] |
|
|
h s |
altura de punto de fuerza de acción en el eje [mm] |
|
|
h h |
altura de punto de fuerza de acción en la brida [ mm] |
|
|
l f |
longitud activa de la chaveta [mm] |
Comprobación de resistencia
p mins ≤ p Ds
p minh ≤ p Dh
donde:
|
p mins |
presión de corte mínima calculada en el eje [MPa] |
|
|
p minh |
presión de corte mínima calculada en la brida [MPa] |
|
|
p Ds |
presión admitida en el eje [MPa] |
|
|
p Dh |
presión admitida en la brida [MPa] |
Cálculo simplificado
Longitud mínima de chaveta para transferir el par de torsión
|
1. Conexión fija: |
![]() |
|
2. Conexión flexible: |
![]() |
|
donde: |
|
T |
par de torsión [Nm] |
|
|
K a |
factor de aplicación |
|
|
K f |
factor de vida útil de desgaste |
|
|
K w |
factor de aplicación |
|
|
K m |
factor de distribución de la carga |
|
|
S v |
seguridad deseada |
|
|
d |
diámetro del eje [mm] |
|
|
N |
número de ranuras [-] |
|
|
h |
altura de la ranura |
|
|
s |
chamfer |
|
|
h st |
altura de conexión h st = h - 2 s [mm] |
|
|
p Dmin |
presión admitida en la superficie de soporte del eje, ranura o brida [MPa] |
Presión admitida
|
1. Conexión fija: |
![]() |
|
2. Conexión flexible: |
![]() |
|
donde: |
|
T |
par de torsión [Nm] |
|
|
K a |
factor de aplicación |
|
|
K f |
factor de vida útil de desgaste |
|
|
K w |
factor de aplicación |
|
|
K m |
factor de distribución de la carga |
|
|
S v |
seguridad deseada |
|
|
d |
diámetro del eje [mm] |
|
|
N |
número de ranuras [-] |
|
|
h |
altura de la ranura |
|
|
s |
chamfer |
|
|
h st |
altura de conexión h st = h - 2 s [mm] |
|
|
l f |
longitud activa de la chaveta [mm] |
Comprobación de resistencia
p mín ≤ p Ds
p mín ≤ p Dh
donde:
|
p min |
presión mínima calculada h/2 [MPa] |
|
|
p Ds |
presión admitida en el eje [MPa] |
|
|
p Dh |
presión admitida en la brida [MPa] |