Fórmulas de bridas separadas para el cálculo en unidades imperiales

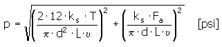
Presión de contacto

Longitud mínima de la brida

Valores recomendados : L = (0,6 - 3) d

Fuerza soportada por un perno

Comprobación de resistencia

p p A

donde:

 

F a

fuerza axial [libras]

 

T

par de torsión [libras/pies]

 

d

diámetro del eje [pulg]

 

p

presión de contacto en una junta [lpc]

 

p A

presión admitida [lpc]

 

L

longitud de la brida [pulg]

  υ

factor de fijación υ = 0,008 a 0,1 [-]

 

k s

seguridad de deslizamiento [-]

 

F

fuerza soportada por un perno [libras]

 

F s

fuerza soportada por todos los pernos [libras]

 

i

número total de pernos [-]