El espacio sobre el techo, cuando se utiliza como ruta de retorno de aire, es un plénum de aire de retorno del techo. A diferencia de un retorno de canalización tradicional, los plénums pueden presentan varias fuentes de calor en la ruta. Estas fuentes pueden ser cargas radiantes y convectivas de sistemas de iluminación y transformadores; cargas de conducción de muros adyacentes, cubiertas o cristaleras; o sistemas de conductos y tuberías dentro del plénum.
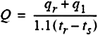
Las ecuaciones siguientes muestran cómo las temperaturas y la transferencia de calor de los plénums se calculan en el motor:
(35)
(36)
(37)
(38)
(39)
donde
= incremento de calor en el espacio desde el plénum a través del techo, Btu/h
= pérdida de calor desde el plénum a través de la planta superior, Btu/h
= incremento de calor "acumulado" por aire de retorno, Btu/h
= flujo de aire de retorno, Btu/h
= incremento de calor por iluminación en el plénum a través del aire de retorno, Btu/h
= incremento de calor por iluminación en el espacio, Btu/h
= incremento de calor desde el plénum inferior a través de la planta, Btu/h
= el incremento de calor desde el muro exterior, Btu/h
= carga de refrigeración del espacio, incluido el tratamiento adecuado de
,
y/o
, Btu/h
= temperatura del plénum, ° F
= temperatura del espacio, ° F
= temperatura del espacio de la planta superior, ° F
= temperatura de suministro, ° F

Diagrama de esquema de plénum de aire de retorno típico