| 
 | Pour chaque poulie | 
| F 2 - F 1 + F p = 0 | |
| 
 | |
| 
 | |
| 
 | 
Pour la poulie d'entraînement
 
| 
 | v ≤ v max | 
| 
 | f b ≤ f max | 
 
F c = mv 2
F Tmax = k 1 F p + F c
F 1 = F tmax
F 2 = F 1 - F p
Pour chaque poulie entraînée et tendeur
index i de la poulie
F Pi = P xi F p
 
 
 
F 1i = F 2i-1
F 2i = F 1i + F p i
où :
  pour poulie synchrone
 pour poulie synchrone 
  pour poulie plate
 pour poulie plate 
Pour la transmission par courroie entière
 
La tension d'installation de courroie requise est établie à partir des forces au niveau de la poulie d'entraînement, de la manière suivante :
 
Exemple de transmission de puissance avec tendeur
 
| Poulie d'entraînement | Tendeur plat | Poulie entraînée | 
| P x1 = 1 | P x2 = 0 | P x3 = 1 | 
| 
 | 
 | F P3 = P x3 F p | 
| 
 | 
 | 
 | 
| 
 | 
 | 
 | 
| 
 | F 12 = F 21 | 
 | 
| 
 | F 22 = F 12 + F p2 = F 12 | 
 | 
| F c = m v 2 | 
 | 
 | 
| F Tmax = k 1 F p + F C | - | F 13 = F 22 | 
| F 11 = F Tmax | - | F 23 = F 13 + F p3 = F 11 | 
| F 21 = F 11 - F p | - | 
 | 
| 
 | - | - | 
Signification des variables utilisées :
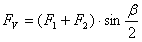
| F p | Amplitude de tension [N] | 
| F 1 | Tension de la courroie sur le côté d'entrée de la poulie considérée [N] | 
| F 2 | Tension de la courroie sur le côté de sortie de la poulie considérée [N] | 
| z | Nombre de dents de la poulie considérée / Nombre de dents de la courroie [-] | 
| β | Arc de contact / angle d'inclinaison de la dent [degré] | 
| P | puissance de transmission [W] | 
| P R | Puissance nominale de la courroie pour la disposition de transmission considérée [W] | 
| c L | Facteur de service [-] | 
| β | Arc de contact [deg] | 
| T | Couple agissant sur la poulie considérée [Nm] | 
| n | Vitesse de la poulie considérée [tr/min] | 
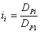
| D p | Diamètre primitif de la poulie [m] | 
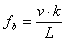
| v | Vitesse de la courroie [m/s] | 
| k | Nombre de poulies au sein de la transmission par courroie [-] | 
| L | Longueur de pas de la courroie [m] | 
| P | puissance de transmission [W] | 
| m | Poids spécifique de la courroie pour la largeur considérée [kg/m] | 
| k 1 | Facteur de tension de la courroie [-] | 
| F p | Amplitude de tension [N] | 
| F c | Force centrifuge [N] | 
| F t | Tension d'installation minimale de la courroie [N] | 
| P xi | Rapport de puissance de la poulie considérée [-] | 
| D pi | Diamètre primitif de la poulie [m] | 
| i | Rapport de transmission (rapport de vitesse) de la poulie considérée [-] | 
| T i | Couple agissant sur la poulie considérée [Nm] | 
| η | Rendement [-] | 
| p b | Pas circulaire [m] | 
| D | Diamètre nominal de la poulie plate [m] | 
| H | Hauteur de la courroie [m] | 
| h T | Hauteur de dent de la courroie [m] | 
| a | Décalage de ligne de pas [m] |