La longueur de courroie est déterminée dans le système de référence ou le système effectif. Pour cette raison, les diamètres de référence et effectif sont d'abord déterminés pour chaque poulie. La trajectoire de la courroie dépend de la position de chaque poulie. La position de la poulie coulissante est ajustée de manière à satisfaire aux critères de longueur de la courroie. Le calcul utilise une solution d'itération afin de déterminer la position de la poulie coulissante la plus proche de la position désirée (ou actuelle).
Diamètres de poulies
| 
 | Poulie à gorge | 
| D e = D w + 2 h w | |
| D p = D w + 2 a | |
| D d = D w | |
| 
 | Poulie plate dans le sens horaire | 
| D e = D + 2 h | |
| D p = D + 2 (h - h w + a) | |
| D d = D + 2(h - h w ) | |
| 
 | Poulie plate dans le sens anti-horaire | 
| D e = D | |
| D p = D + 2 (h w - a) | |
| D d = D + 2 h w | 
Exemple de transmission de puissance avec 2 poulies
Cet exemple utilise le système de référence.
 
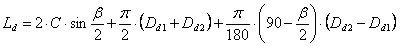
Arc de contact
 
Longueur de référence de la courroie
 
Distance au centre
 
La formule suivante est recommandée pour déterminer la distance au centre d'une nouvelle poulie
0.7 (D d1 + D d2 ) ≤ C ≤ 2(D d1 + D d2 )
Signification des variables utilisées :
| D W | Diamètre nominal (de référence ou effectif) [m] | 
| D e | Diamètre effectif (externe) de la poulie [m] | 
| h w | Valeur nominale (pour le système effectif h w = 0) [m] | 
| a | Décalage de la ligne de pas (négatif dans le système effectif) [m] | 
| D | Diamètre nominal et externe de la poulie plate [m] | 
| h | Hauteur de la courroie [m] | 
| D d | Diamètre de référence de la poulie [m] | 
| C | Distance au centre [m] | 
| β | Arc de contact [deg] | 
| L d | Longueur de référence de la courroie [m] |