 
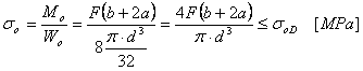
Contrainte de pliage

Pression dans la tige

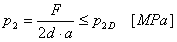
Pression dans la chape

Contrainte de cisaillement

où :
| F | force [N] | |
| σ 0 | contrainte de pliage [MPa] | |
| σ 0D | contrainte de pliage admissible [MPa] | |
| M 0 | moment de flexion [N mm] | |
| W 0 | module de coupe de flexion [mm 3 ] | |
| τ | contrainte de cisaillement [MPa] | |
| τ D | contrainte de cisaillement admissible [MPa] | |
| d | diamètre de la broche [mm] | |
| p 1 | pression dans la tige [MPa] | |
| p 2 | pression dans la chape [MPa] | |
| p 1D | pression admissible dans la tige [MPa] | |
| p 2D | pression admissible dans la chape [MPa] | |
| b | largeur de la tige [mm] | |
| a | largeur du bras de chape [mm] |