Couple transféré
 
   
 
où :
| P | puissance transférée [kW] | |
| n | vitesse [min -1 ] | 
Pression sur la surface de support de la rainure
1. diamètre interne de l'arbre d h > 0
a)  
 
b) si d min ≤d h -> d min = 1.1 d h [mm]
c) si d min ≤ 1.5 d h -> d min = 1.5 d h [mm]
2. diamètre interne de l'arbre d h = 0
 
   
 
où :
| d min | diamètre minimal de l'arbre [mm] | |
| d h | diamètre interne de l'arbre [mm] | |
| T | couple [Nm] | |
| K a | facteur d'application | |
| K f | facteur de résistance à la fatigue | |
| S v | sécurité souhaitée | |
| τ Al | Contrainte de cisaillement admissible | 
Longueur minimale de cannelure nécessaire au transfert du couple
| 1. Assemblage fixe : |  | 
| 2. Assemblage souple : |  | 
| où : | 
| T | couple [Nm] | |
| K a | facteur d'application | |
| K f | facteur de résistance à l'usure | |
| K w | facteur d'application | |
| K m | facteur de répartition de la charge | |
| S v | sécurité souhaitée | |
| d s | diamètre médian = (D + d) / 2 [mm] | |
| D | diamètre externe de la section de rainure [mm] | |
| d | diamètre interne de la section de rainure [mm] | |
| N | nombre de rainures [-] | |
| h | hauteur de la rainure = (D - d) / 2 [mm] | |
| s | chanfrein [mm] | |
| h st | hauteur de l'assemblage h st = h - 2 s [mm] | |
| p Dmin | pression admissible sur une surface de support d'arbre ou de rainure [MPa] | 
Pression admissible
| 1. Assemblage fixe : |  | 
| 2. Assemblage souple : |  | 
| où : | 
| T | couple [Nm] | |
| K a | facteur d'application | |
| K f | facteur de résistance à l'usure | |
| K w | facteur d'application | |
| K m | facteur de répartition de la charge | |
| S v | sécurité souhaitée | |
| d s | diamètre médian = (D + d) / 2 [mm] | |
| D | diamètre externe de la section de rainure [mm] | |
| d | diamètre interne de la section de rainure [mm] | |
| N | nombre de rainures [-] | |
| h | hauteur de la rainure = (D - d) / 2 [mm] | |
| s | chanfrein [mm] | |
| h st | hauteur de l'assemblage h st = h - 2 s [mm] | |
| l f | longueur de clavette active [mm] | 
Vérification de la force
p min ≤ p ds
p min ≤ p dh
où :
| p min | pression h/2 minimale calculée [MPa] | |
| p ds | pression admissible dans l'arbre [MPa] | |
| p dh | pression admissible dans le moyeu [MPa] | 
Calcul métrique d'après la norme CSN 01 4950
Contrainte de pliage
 
   
 
où :
| s sf | épaisseur à la corde du dedendum de dent de l'arbre | s sf = 2.17m | |
| h | hauteur de dent de l'arbre | h = 1.1m - 0.05 | centrage sur les côtés de la dent, fond de rainure arrondi | 
| h = 1.28m - 0.05 | centrage sur les côtés de la dent, fond de rainure arrondi | ||
| h = 1.2 m | centrage externe | 
Pression sur une surface de support de rainure
 
   
 
où :
| h n | hauteur de la cannelure supportant la charge | h n = 0.9 m - 0.05 | 
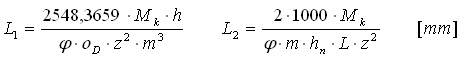
Longueur de cannelures minimale
L min = max {L 1 , L 2 } [mm]
où :
 
   
 
Valeurs recommandées : L = (0.8 - 1.6) D
Vérification des cannelures
p ≤ p d et σ≤σ d
où :
| P | puissance transférée [kW] | |
| n | vitesse [min -1 ] | |
| z | nombre de dents [-] | |
| p D | pression admissible sur les surfaces de contact des dents [MPa] | |
| σ D | contrainte de pliage admissible [MPa] | |
| L | longueur de cannelure active [mm] | |
| D | diamètre nominal de la cannelure [mm] | |
| ϕ | facteur d'engagement de la dent |