 
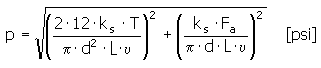
Pression de contact
 
Longueur minimale du moyeu
 
Valeurs recommandées : L = (0.6 - 3) d
Force véhiculée par une vis
 
Vérification de la force
p ≤ p A
où :
| F a | force axiale [lb] | |
| T | couple [lb ft] | |
| d | diamètre de l'arbre [po] | |
| p | pression de contact dans une liaison [psi] | |
| p A | pression admissible [psi] | |
| L | longueur du moyeu [po] | |
| υ | facteur de serrageυ = 0.008 à 0.1 [-] | |
| k s | sécurité en cas de patinage [-] | |
| F | force véhiculée par une vis [lb] | |
| F s | force véhiculée par toutes les vis [lb] | |
| i | nombre total de vis [-] |