Après avoir sélectionné l'option Orthotrope 3D dans la liste déroulante Type, les sections sur les matériaux suivantes sont disponibles : Général, Rigidité, Cisaillement, Coefficient de Poisson, Dilatation thermique, Autoriséset Thermique.
La stabilité de matériau nécessite ce qui suit :
Si l'une des deux conditions n'est pas respectée, un message d'avertissement s'affiche.
Il peut être difficile de trouver les neuf constantes orthotropes. Dans certains problèmes, les propriétés du matériau peuvent être réduites à une anisotropie normale dans laquelle le matériau est isotrope dans un plan (par exemple, Plan 1-2) et possède des propriétés différentes dans la direction normale à ce plan. Dans le plan d'isotropie, les propriétés sont réduites à :
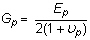
avec
et
.
Il existe cinq constantes de matériau indépendantes pour l'anisotropie normale (par exemple,
,
,
,
,
et
). Si le matériau possède une anisotropie planaire, dans laquelle le matériau est orthotrope uniquement dans un plan, les constantes élastiques sont réduites à sept (par exemple,
,
,
,
,
,
et
).
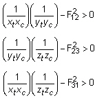
crée des complications dans l'utilisation de cette théorie. Pour cette raison, il est recommandé que F12, F23 et F31 soient définis sur zéro.
Pour les analyses thermiques, vous pouvez saisir les valeurs de la matrice de conductivité, de chaleur spécifique et de masse volumique sous la section Thermique. La masse volumique est répétée, car elle peut être nécessaire dans l'analyse thermique ainsi que dans l'analyse de la structure.