Type d'assemblage - Noeud de treillis tube (Eurocode 3:2005)

Utilisez ce type d'assemblage pour dimensionner et vérifier les assemblages des barres d'acier avec des sections de tubes ronds, carrés ou rectangulaires selon les directives de la norme Eurocode 3:2005).

Les calculs d'assemblage couvrent les types d'assemblage K, N, KT, T, Y et X. Vous pouvez utiliser des sections en I comme membrure et les renforts de la membrure (plaques horizontales, plaques latérales) soudés à la membrure (comme indiqué).

Méthodes de calcul

Jeu des forces prises en compte dans les calculs de l’assemblage :

Vérification de la résistance

Les méthodes de calcul des barres ont été élaborées à partir des dispositions contenues dans les normes :

Dimensionnement des soudures

On a admis que la vérification de la capacité portante des nœuds par le biais de l’estimation de la résistance N Rdi à l’aide des soudures d’about est équivalente à la vérification de la résistance de ces soudures. Celles-ci sont donc considérées comme soudures d’angle pendant l'étape de vérification des soudures. La vérification de la résistance des soudures s'effectuee conformément aux dispositions de la norme Eurocode 3:2005.

On suppose que :

la longueur des soudures est égale à leur longueur réelle.

Si le tube croise l'élément plat à l'un des angles

Par contre, en cas de membrures tubulaires (rectangle et carré), il est admis que certains segments des soudures sont sans effet.

Assemblage de type K et N

Pour un assemblage présentant une distance entre les barres, il est admis que les segments longitudinaux des soudures (par rapport à l’axe de la membrure) sont significatifs. Les segments transversaux présentent quant à eux une efficacité variable. Le segment 3 (soudure intérieure) de l’assemblage de la barre inclinée participe au transfert de la force d’une barre vers le segment voisin. Le segment 4 (soudure extérieure) ne participe pas en cas d’angles d’inclinaison importants.

Rabattement des sections de calcul des soudures d’angle :

a) le rabattement de la section de calcul de la soudure pour θ > 50 [deg]

a) le rabattement de la section de calcul de la soudure pour θ ≤ 50 [deg]

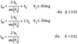
Calcul de la longueur participante des soudures dans l’assemblage de type K et N :

La valeur l4 dans l’intervalle (50°, 60°) fait l'objet d'une interpolation linéaire.

Si un assemblage présente des barres qui se chevauchent, il est admis que les soudures sont prises en compte sur les quatre bords des tubes assemblés. Leurs longueurs respectives sont calculées en fonction des dimensions réelles dans l’assemblage.

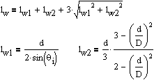
Calcul des longueurs des soudures dans l’assemblage de type K et N :

La procédure en cas de calculs des contraintes dans chaque segment de la soudure est identique à celle pour l’assemblage présentant un écart entre les barres.

Rubrique connexe :

Répartition des forces / contraintes dans les soudures

Assemblage de type T, Y et X

Les segments 3 ne sont pas efficaces pour de petites valeurs de b.

La longueur participante des soudures admise :