C’est l’état limite principal du dimensionnement de la semelle, c’est pourquoi (à la différence des autres états limites) il ne peut pas être désactivé lors du dimensionnement ou de l’analyse de la semelle. L’analyse de cet état consiste en comparer la valeur maximale de la force ou de la compression dues aux charges externes aux valeurs admissibles. Les valeurs admissibles peuvent être définies par l’utilisateur ou calculées par le logiciel à partir des paramètres du sol.
Dans le cas des valeurs calculées par le logiciel, il est possible d’effectuer l’analyse du sol stratifié. Pour la valeur des contraintes imposée par l’utilisateur, les valeurs sont comparées à celles directement au-dessous de la base de la semelle.
Si la résistance du sol est définie par l’utilisateur, cette valeur est comparée à :
Calculs pour les normes spécifiques
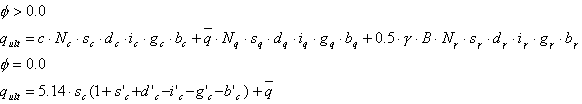
La littérature présente quelques méthodes de base permettant le calcul de la résistance du sol. Ces méthodes réduisent les calculs aux calculs des contraintes admissibles dans le sol ou de la force admissible qui leur correspond. Chronologiquement, ces méthodes sont : Terzagi (1943), Meyerhof (1963), Hansen (1970), Versić (1973, 1 975). Dans le module, on utilise la méthode de Hansen avec les directives présentées dans la littérature. Formule principale de la résistance d’après Hansen :

Pour les besoins du logiciel, la formule a été limitée aux cas qui peuvent être analysés dans le module de semelles isolées. On présume que les coefficients responsables de l’inclinaison de la semelle b et de l’inclinaison du talus g sont égaux à 1,0.
Puisque dans le module il n’est pas possible d’utiliser les sols dont l’angle de frottement f = 0,0 degrés, seule la première formule de Hansen est appliquée. La formule finale de calcul de la contrainte admissible pour ACI \ BS 8004:1986 \ CSA est présentée ci-dessous :
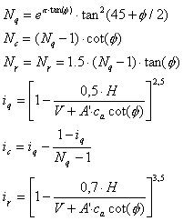
où les coefficients respectifs sont égaux à :

et la surface effective est A' = B' * L'

où :

La valeur calculée qult divisée par le coefficient de sécurité SF=3.0 est comparée à la contrainte moyenne maximale dans le sol due à l’ELS
Pour les normes françaises, les méthodes de calcul de la résistance du sol suivantes sont disponibles :
Essais de laboratoire
Dans cette méthode, pour les deux normes, les calculs sont effectués d’après le point 3.21 de la norme DTU 13.12 (le fascicule ne contient pas de dispositions concernant la méthode d’essais de laboratoire).
Le principe général de la résistance peut être exprimé de la manière suivante :
.
qref étant une contrainte maximale moyenne présente sous la fondation en ELU, et gg étant le coefficient égal à 2 pour la combinaison ELU et 1.5 pour la combinaison ELU avec la participation des charges de vent.
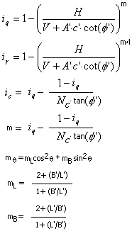
Les calculs des valeurs de la résistance se font de la manière suivante :
.
Les coefficients sans unité de résistance sont égaux à:
.
Les coefficients sans unité de forme sont égaux à :
.
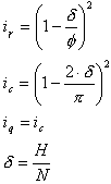
Les coefficients sans unité d’inclinaison d'une charge due à la force horizontale H sont égaux à :
.
Pressiométrique complète
Calculs basés sur une courbe définie par l'utilisateur comme un résultat de recherche pressiométrique sur site. C’est pourquoi, le paramètre important est aussi le type de sol au niveau du site de la fondation (ce sont les coefficients utilisés dans les calculs de la capacité portante qui dépendent du type de sol). Les types de sols sont adoptés d’après l’annexe E.1. de la norme Fascicule 62 Titre V.
Le principe général de la résistance peut être exprimé de manière suivante :
(analogue à celle de la méthode d’essais de laboratoire)
Les calculs de la valeur de la résistance qu sont basés sur le point 3.22 de la norme et sont effectués de la manière suivante :
.
Les valeurs dans la formule ci-dessus sont prises conformément à la norme, p le * étant la contrainte limite équivalente déterminée suivant la formule :
où B signifie la dimension de la fondation dans la direction étudiée.
En tant que profondeur de fondation, on prend la profondeur de fondation minimale Dmin minorée d’une profondeur d (une partie négligeable de la profondeur de fondation).
Le principe général de la résistance peut être exprimé de la manière suivante :
.
Toutes les valeurs dans la formule ci-dessus sont adoptées conformément à la norme, point B.3.1,1, et les annexes B.1., E.2., F.1.
Pressiométrique de contrainte
La capacité portante du sol pour cette méthode est adoptée à partir de la valeur donnée directement par l’utilisateur. La valeur qu admissible (caractéristique) définie par l’utilisateur, de l’ELU ou de l’ELS, est toujours recalculée en valeur caractéristique qu, puis, à partir de cette valeur, la valeur limite de la contrainte qlim est calculée suivant les formules :
DTU 13.12
Fascicule 62 Titre 62
.
De plus, si la rectification a été choisie, la rectification de la valeur donnée par l’utilisateur de la géométrie et des charges est effectuée. La valeur donnée par l’utilisateur est considérée comme la résistance qu pour la fondation ayant les dimensions unitaires (A=B=1m) et sollicitée uniquement par les charges verticales, avec la profondeur de semelle (Dmin – d). A la suite de la rectification, les dimensions réelles de la fondation, l’influence des charges horizontales et des moments (excentrements) sont prises en compte. Cela se manifeste dans les calcules des coefficients kp, idb. C’est pourquoi, le paramètre important est aussi le type de sol au niveau du site de la fondation (ce sont les coefficients utilisés dans les calculs de la capacité portante qui dépendent du type de sol). Les types de sols sont adoptés d’après l’annexe E.1. de la norme Fascicule 62 Titre V.
L’analyse de la résistance du sol est basée sur le point 6.5.1, 6.5.2 et l’annexe B de la norme EC 7. La condition générale de résistance V d < R d peut être augmentée par la saisie du coefficient de sécurité supérieur à 1,0 (sur l’onglet Général de la boîte de dialogue Options géotechnique).
Les calculs de la résistance sont effectués comme suit :
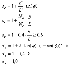
Les coefficients sans unité de charge sont égaux à :
.
Les coefficients sans unité de forme sont égaux à :
.
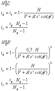
Les coefficients sans unité d’inclinaison de la charge due à la force horizontale H, parallèles respectivement au bord plus long et plus court, sont égaux à :
.
Les coefficient de profondeur de la semelle sont égaux à :

où :
.
.
Le coefficient sans unité de forme est égal à :
sc = 1,2 + 0,2 * ( B’ / L’ )
Le coefficient sans unité d’inclinaison de la charge due à la force horizontale H est égal à :
Notez que le paramètre de sol : Cohésion sans drainage - c u est appliqué ici.
L’analyse de la résistance du sol est basée sur le point 6.5.2.1, 6.5.2.2 et l’annexe B de la norme EC 7. La condition générale de résistance V d < RD est multipliée par le coefficient g R en fonction de la méthode de calcul. Le coefficient peut être modifiée dans les Préférences de la tâche. Les calculs de la résistance sont effectués de la manière suivante:
Les calculs de la résistance sont effectués comme suit :
Les coefficients sans unité de charge sont égaux à :
.
Les coefficients sans unité de forme sont égaux à :
.
Les coefficients sans unité d’inclinaison de la charge due à la force horizontale H, parallèles respectivement au bord plus long et plus court, sont égaux à :

Les coefficient de profondeur de la semelle sont égaux à :

où :
.
.
Le coefficient sans unité de forme est égal à :
sc = 1,2 + 0,2 * ( B’ / L’ )
Le coefficient sans unité d’inclinaison de la charge due à la force horizontale H est égal à :
Notez que le paramètre de sol : Cohésion sans drainage - c u est appliqué ici.
Coefficients partiels pour EN 1997-1-1:2004 (EC 7)
Pour la norme EN 1997-1-1:2004, il est possible de modifier les coefficients partiels des ensembles R (pression et de résistance) et M (paramètres de sol) 2.4.7.3.4.
Les valeurs par défaut des paramètres sont disponibles dans Préférences de la tâche.
Un ensemble (pour les actions ou leurs effets) de coefficients partiels est disponible dans la réglementation des combinaisons de la norme géotechnique (EC7_2004_geo.rgl).
L’analyse de la résistance du sol est basée sur le point 3.3.3, annexe 1. La condition générale de résistance :
peut être augmentée par la saisie d'un coefficient de sécurité supérieur à 1.0 (sur l'onglet Général de la boîte de dialogue Options géotechnique) :
Les calculs de la résistance sont effectués comme suit (Z1-2) :
.
Les coefficients sans unité de charge sont égaux à :
.
Les coefficients sans unités i sont définis à partir des nomogrammes réglementaires (fig. Z1-2).
L’analyse de la résistance du sol est basée sur le point 2.58 -2. La condition générale de résistance (11) :
où :
γ c - Coefficient d'environnement
γ n – coefficient de fiabilité considérant la destination de la structure
Ces deux coefficients peuvent être modifiés dans la boîte de dialogue Options géotechniques conformément à la formule présentée :
.
En résultat du dimensionnement, on obtient le coefficient de sécurité de la structure égal à :
.
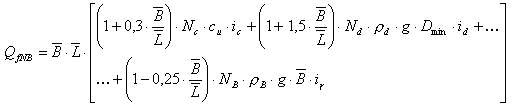
Les calculs de la résistance sont effectués comme suit (16) :
.
Les coefficients sans unité de résistance N sont calculés conformément au tableau 7 de la norme. Entre les valeurs du tableau, une interpolation linéaire est effectuée. Les coefficients sans unité de forme X sont calculés comme suit (17) :
.