La lunghezza del passo della cinghia è data dal numero di denti della cinghia e dal passo circonferenziale. La traiettoria della cinghia si basa sulla posizione delle singole pulegge. Il diametro primitivo di ciascuna puleggia viene determinato in base alle seguenti equazioni. La posizione della puleggia scorrevole viene regolata in modo conforme ai criteri standard relativi alla lunghezza della cinghia. Nel calcolo viene utilizzata la soluzione dell'iterazione per trovare la posizione appropriata della puleggia scorrevole più vicina possibile a quella desiderata.
Determinare il diametro primitivo esatto
|
|
Puleggia sincrona in senso orario o cinghia a due lati |
|
|
|
|
|
Puleggia piatta in senso orario o cinghia a due lati |
|
D p = D + 2(a + h t ) |
|
|
|
Puleggia sincrona in senso antiorario e cinghia ad un solo lato |
|
D p = D 0 + 2(H - a - h t ) |
|
|
|
Puleggia piatta in senso antiorario e cinghia ad un solo lato |
|
D p = D + 2(H - a - h t ) |
Esempio di trasmissione di potenza con 2 pulegge
Arco di contatto
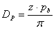
Lunghezza del passo della cinghia
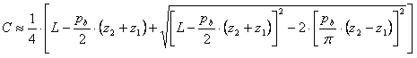
Interasse
La seguente formula è consigliata per la determinazione dell'interasse di una nuova trasmissione
0,2 p b (z 1 + z 2 ) ≤ C ≤ 0,7 p b (z 1 = z 2 )
Significato delle variabili usate:
|
z |
Numero di denti della specifica puleggia/ Numero di denti della cinghia [-] |
|
p b |
Passo circonferenziale [m] |
|
D |
Diametro nominale della puleggia piatta [m] |
|
a |
Offset linea passo [m] |
|
h t |
Altezza del dente della cinghia [m] |
|
D 0 |
Diametro esterno della puleggia sincrona [m] |
|
H |
Altezza della cinghia [m] |
|
C |
Interasse della specifica puleggia e puleggia conduttrice [m] |
| β |
Arco di contatto [gradi] |