Momento trasferito
dove:
|
P |
potenza trasferita [kW] |
|
|
n |
velocità [min -1 ] |
Pressione sulla superficie di supporto della scanalatura
1. diametro interno dell'albero d h > 0
a)
b) se d min ≤d h -> d min = 1,1 d h [mm]
c) se d min ≤ 1,5 d h -> d min = 1,5 d h [mm]
2 diametro interno dell'albero d h = 0
dove:
|
d min |
diametro albero minimo [mm] |
|
|
d h |
diametro interno albero [mm] |
|
|
T |
momento [Nm] |
|
|
K a |
fattore di applicazione |
|
|
K f |
fattore di fatica di usura |
|
|
S v |
sicurezza desiderata |
|
|
τ Al |
Sollecitazione a taglio ammissibile |
Lunghezza minima delle spline per trasferire il momento
|
1. Connessione fissa: |
![]() |
|
2. Connessione flessibile: |
![]() |
|
dove: |
|
T |
momento [Nm] |
|
|
K a |
fattore di applicazione |
|
|
K f |
fattore di usura |
|
|
K w |
fattore di applicazione |
|
|
K m |
fattore di distribuzione del carico |
|
|
S v |
sicurezza desiderata |
|
|
d s |
diametro medio = (D + d) / 2 [mm] |
|
|
D |
diametro esterno della sezione della scanalatura [mm] |
|
|
d |
diametro interno della sezione della scanalatura [mm] |
|
|
N |
numero di scanalature [-] |
|
|
h |
altezza scanalatura = (D - d) / 2 [mm] |
|
|
s |
Smusso [mm] |
|
|
h st |
altezza connessione h st = h - 2 s [mm] |
|
|
p Dmin |
pressione ammissibile sulla superficie di supporto dell'albero o della scanalatura [MPa] |
Pressione ammissibile
|
1. Connessione fissa: |
![]() |
|
2. Connessione flessibile: |
![]() |
|
dove: |
|
T |
momento [Nm] |
|
|
K a |
fattore di applicazione |
|
|
K f |
fattore di usura |
|
|
K w |
fattore di applicazione |
|
|
K m |
fattore di distribuzione del carico |
|
|
S v |
sicurezza desiderata |
|
|
d s |
diametro medio = (D + d) / 2 [mm] |
|
|
D |
diametro esterno della sezione della scanalatura [mm] |
|
|
d |
diametro interno della sezione della scanalatura [mm] |
|
|
N |
numero di scanalature [-] |
|
|
h |
altezza scanalatura = (D - d) / 2 [mm] |
|
|
s |
Smusso [mm] |
|
|
h st |
altezza connessione h st = h - 2 s [mm] |
|
|
l f |
lunghezza chiavetta attiva [mm] |
Verifica della resistenza
p min ≤ p ds
p min ≤ p dh
dove:
|
p min |
minima pressione h/2 calcolata [MPa] |
|
|
p ds |
pressione ammissibile nell'albero [MPa] |
|
|
p dh |
pressione ammissibile nel mozzo [MPa] |
Calcolo metrico in base a CSN 01 4950
Sollecitazione di flessione
dove:
|
s sf |
spessore dedendum dente cordale albero |
s sf = 2,17m |
|
|
h |
altezza dente albero |
h = 1,1m - 0,05 |
centratura fino ai lati del dente, base piatta della scanalatura |
|
h = 1,28m - 0,05 |
centratura fino ai lati del dente, base rotonda della scanalatura |
||
|
h = 1,2 m |
centratura esterna |
Pressione sulla superficie di supporto della scanalatura
dove:
|
h n |
altezza spline che supporta il carico |
h n = 0,9 m - 0,05 |
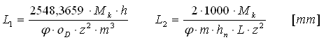
Lunghezza minima delle spline
L min = max {L 1 , L 2 } [mm]
dove:
Valori consigliati: L = (0,8 - 1,6) D
Verifica delle spline
p ≤ p d and σ≤σ d
dove:
|
P |
potenza trasferita [kW] |
|
|
n |
velocità [min -1 ] |
|
|
z |
numero denti [-] |
|
|
p D |
pressione ammissibile sulle superfici di contatto dei denti [MPa] |
|
|
σ D |
Sollecitazione di flessione ammissibile [MPa] |
|
|
L |
lunghezza spline attiva [mm] |
|
|
D |
diametro spline nominale [mm] |
|
| ϕ |
fattore del contatto del lato del dente |