La lunghezza della catena è data dal numero di collegamenti catena e dal passo della catena. La traiettoria dell'unità catena si basa sulla posizione individuale della ruota dentata e sulla direzione del movimento desiderata.
L'algoritmo per il calcolo della lunghezza della catena utilizza i diametri primitivi delle ruote dentate. Il diametro primitivo di ciascuna ruota dentata o tendicatena dell'unità catena a rulli è ottenuto tramite le equazioni riportate di seguito.
Per raggiungere la lunghezza della catena desiderata, la posizione della ruota dentata scorrevole viene regolata di conseguenza. Nel calcolo vengono utilizzate l'algebra lineare e la soluzione dell'iterazione per trovare la posizione appropriata della ruota dentata scorrevole.
Una volta calcolata la lunghezza della catena, si tiene conto che la traiettoria è costituita da segmenti lineari alla lunghezza del passo della catena e che gli archi sono sostituiti con dei poligoni effettivi.
Diametri primitivi
![]() |
|
|
|
dove: |
||
|
D P |
Diametro primitivo |
|
|
p |
passo della catena |
|
|
z |
numero di denti della ruota dentata |
|
|
|
D p = D + D r |
|
|
dove: |
||
|
D P |
Diametro primitivo |
|
|
D |
Diametro nominale del tendicatena |
|
|
D r |
diametro massimo del rullo catena |
|
Esempio di unità catena con due ruote dentate
Numero di collegamenti catena richiesto per l'interasse desiderato
Il numero di collegamenti catena richiesto è arrotondato al numero pari o dispari più vicino, quindi l'interasse effettivo viene determinato come
C = F p [ 2 X - (z 1 + z 2 )]
dove:
|
|
|
|
|
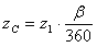
L'angolo di contatto viene determinato come
|
|
Numero di denti in contatto con la ruota dentata piccola
|
|
Significato delle variabili usate:
|
C 0 |
Interasse desiderato [m] |
|
C |
Interasse effettivo [m] |
|
p |
Passo della catena [m] |
|
z 1 |
Numero di denti della ruota dentata conduttrice [-] |
|
z 2 |
Numero di denti della ruota dentata condotta [-] |
|
D P1 |
Diametro primitivo della ruota dentata conduttrice [m] |
|
D P2 |
Diametro primitivo della ruota dentata condotta [m] |
|
X 0 |
Numero di collegamenti catena richiesto [-] |
| β |
Angolo di contatto [gradi] |