Giunto a chiavetta: formule di calcolo in unità metriche

Momento trasferito

dove:

 

P

potenza [kW]

 

n

velocità [rpm]

Calcolo del diametro minimo dell'albero

1. diametro interno dell'albero d h > 0

a)

b) se d min d h -> d min = 1,1 d h [mm]

c) se d min 1,5 d h -> d min = 1,5 d h [mm]

2 diametro interno dell'albero d h = 0

dove:

 

d min

diametro albero minimo [mm]

 

d h

diametro interno albero [mm]

 

T

momento [Nm]

 

K a

fattore di applicazione

 

K f

fattore di fatica di usura

 

S v

sicurezza desiderata

 

τ A

Sollecitazione a taglio ammissibile

Calcolo generale

intervallo dell'azione della forza sull'albero

k =

intervallo dell'azione della forza sul mozzo

diametro albero dell'intervallo dell'azione della forza

diametro mozzo dell'intervallo dell'azione della forza

forza sull'albero

forza sul mozzo

dove:

 
 

T

momento [Nm]

 

F s

forza sull'albero [N]

 

F h

forza sul mozzo [N]

 

K a

fattore di applicazione

 

K f

fattore di usura

 

K w

fattore di applicazione

 

K m

fattore di distribuzione del carico

 

S v

sicurezza desiderata

 

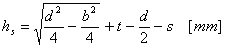
d

diametro albero [mm]

 

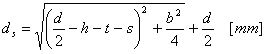
d s

F s

 

d h

diametro albero in cui la forza F d agisce [mm]

 

N

numero di scanalature [-]

 

h

altezza scanalatura

 

h s

altezza del punto di azione della forza sull'albero [mm]

 

h h

altezza del punto di azione della forza sul mozzo [mm]

 

b

larghezza della scanalatura

 

t

profondità della scanalatura nell'albero [mm]

 

s

smusso

 

p Dmins

pressione ammissibile minima (scanalatura, albero) [MPa]

 

p Dminh

pressione ammissibile minima (scanalatura, mozzo) [MPa]

Lunghezza minima della chiavetta per trasferire il momento

1. Connessione fissa:

a)

 

b)

 

L min = min(L mins , L minh )

2. Connessione flessibile:

a)

 

b)

 

L min = min(L mins , L minh )

dove:

 
 

F s

forza sull'albero [N]

 

F h

forza sul mozzo [N]

 

K a

fattore di applicazione

 

K f

fattore di usura

 

K w

fattore di applicazione

 

K m

fattore di distribuzione del carico

 

S v

sicurezza desiderata

 

d

diametro albero [mm]

 

N

numero di scanalature [-]

 

h s

altezza del punto di azione della forza sull'albero [mm]

 

h h

altezza del punto di azione della forza sul mozzo [mm]

 

p Dmins

pressione ammissibile minima (scanalatura, albero) [MPa]

 

p Dminh

pressione ammissibile minima (scanalatura, mozzo) [MPa]

Pressione ammissibile minima

1. Connessione fissa:

a)

 

b)

2. Connessione flessibile:

a)

 

b)

dove:

 
 

F s

forza sull'albero [N]

 

F h

forza sul mozzo [N]

 

K a

fattore di applicazione

 

K f

fattore di usura

 

K w

fattore di applicazione

 

K m

fattore di distribuzione del carico

 

S v

sicurezza desiderata

 

d

diametro interno della sezione della scanalatura [mm]

 

N

numero di scanalature [-]

 

h s

altezza del punto di azione della forza sull'albero [mm]

 

h h

altezza del punto di azione della forza sul mozzo [mm]

 

l f

lunghezza chiavetta attiva [mm]

Verifica della resistenza

p mins p Ds

p minh p Dh

dove:

 

p mins

minima pressione di taglio calcolata nell'albero [MPa]

 

p minh

minima pressione di taglio calcolata nel mozzo [MPa]

 

p Ds

pressione ammissibile nell'albero [MPa]

 

p Dh

pressione ammissibile nel mozzo [MPa]

Calcolo semplificato

Lunghezza minima della chiavetta per trasferire il momento

1. Connessione fissa:

2. Connessione flessibile:

dove:

 
 

T

momento [Nm]

 

K a

fattore di applicazione

 

K f

fattore di usura

 

K w

fattore di applicazione

 

K m

fattore di distribuzione del carico

 

S v

sicurezza desiderata

 

d

diametro albero [mm]

 

N

numero di scanalature [-]

 

h

altezza scanalatura

 

s

smusso

 

h st

altezza connessione h st = h - 2 s [mm]

 

p Dmin

pressione ammissibile sulla superficie di supporto dell'albero, scanalatura o mozzo [MPa]

Pressione ammissibile

1. Connessione fissa:

2. Connessione flessibile:

dove:

 
 

T

momento [Nm]

 

K a

fattore di applicazione

 

K f

fattore di usura

 

K w

fattore di applicazione

 

K m

fattore di distribuzione del carico

 

S v

sicurezza desiderata

 

d

diametro albero [mm]

 

N

numero di scanalature [-]

 

h

altezza scanalatura

 

s

smusso

 

h st

altezza connessione h st = h - 2 s [mm]

 

l f

lunghezza chiavetta attiva [mm]

Verifica della resistenza

p min p Ds

p min p Dh

dove:

 

p min

minima pressione h/2 calcolata [MPa]

 

p Ds

pressione ammissibile nell'albero [MPa]

 

p Dh

pressione ammissibile nel mozzo [MPa]