Distribution of Forces / Stresses in Welds

Distribution of forces in welds due to a load parallel to the chord

Distribution of forces in welds due to a load perpendicular to the chord

Distribution of stresses in longitudinal welds

Distribution of stresses in transversal welds

Formulas for calculation of individual stress components

Formulas for resultant stresses in welds (longitudinal 1, longitudinal 2, transversal internal 3, transversal external 4)

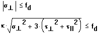
Resistance condition:

Eurocode:

PN: