Friction Factor

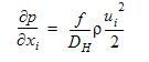
The friction factor method can be used to simulate a long length of tube or pipe. In this method, the excess pressure drop is written as:

where f is the friction factor and DH is the hydraulic diameter.

Note: The hydraulic diameter and the simulated pipe length are required properties for both methods.

Method 1: Moody

The Moody formula is used to calculate the friction factor. Enter the Obstruction Roughness Height in the correct length units.

Method 2:

The friction factor is determined from: . The Reynolds number is based on the hydraulic diameter of the pipe. Enter the coefficients a and b.

Note: The friction factor is dimensionless but the hydraulic diameter should be entered in the correct length units.