This page discusses how the primary membrane and primary bending stresses (Pm and Pb) are calculated.
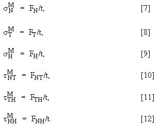
The calculation of these stresses involves several steps. We begin by recasting the six global stress tensors in the local coordinate system dictated by the stress classification line (SCL). We then integrate the six local stress tensors, σN, σT, σH, τNT, τTH, τNH, along the SCL to obtain the total load (FN, FT, FH, FNT, FTH, FHN) using:
Where T is the location along the SCL.
Then, we calculate the membrane stress (F/A) for all 6 components. For an SCL of length t,
The principal membrane stresses (
) are obtained from the tensor whose components are given by equations 7 through 12. These stresses are obtained by recasting this tensor in the principal axis direction.
Next we develop the bending stresses by subtracting the membrane stress from the total stress distribution. This is done stress point by stress point. First, we develop the moment-load distribution for an SCL of length t. Then we integrate the moment load-distribution to obtain the moment on the cross section.
These integrals should be calculated using trapezoidal integration. The subsequent results are used to calculate the bending stress (Mc/I) for an SCL of length t from:
The next step is to calculate the principal stress at each end of the SCL (
). These principal membrane plus bending stresses are obtained from the tensor whose components are obtained by substituting T=Node 1 and T=Node 2
The membrane stresses are obtained from equations 7 through 12, and the bending stress from equations 16 through 18. Note that there are two sets of principal stresses: one at T=Node 1 and another at T=Node 2. Again, the principal stresses are obtained by recasting the tensor in the principal axis direction.
At this point we have all of the principal membrane stresses,
and the sum of the principal membrane and bending stresses,
These values are required to determine the output scalar quantities:
These two scalar values are calculated and output based on two different combination methods—maximum shear stress and Von Mises stress. The following table lists the equations used for each value and calculation method:
| Table 1: Pm and (Pm + Pb) Equations for Each Calculation Method | |||
|---|---|---|---|
| Maximum Shear Stress Method | Von Mises Stress Method | ||
Pm = Largest of |
[25] |
|
[27] |
(Pm + Pb) = Largest of |
[26] * |
|
[28] * |
* Note: Equations 26 and 28 must each be evaluated twice, because two sets of values exist—one at T=Node 1 and another at T=Node 2. The output quantity is based on the node with the largest resultant value.
Finally, the primary bending stress intensity (Pb) is calculated from the following simple difference equation for both stress combination methods:
Pb = (Pm + Pb) - Pm[29]
Reference: ASME SGDA-99-2, PROPOSED NON-MANDATORY APPENDIX for Subcommittees III & VIII, Interpretation of Finite Element Analysis Stress Results, Rev 4, 2000.