Van der Waals Material Properties

The Van der Waals material model is a hyperelastic material model and is available for 2D, brick and tetrahedral elements. The material properties are listed below.

Click the Curve Fit button on the Element Material Specification dialog to use the Curve Fitting routine. This routine calculates the material constants using measured stress-strain data.

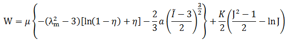
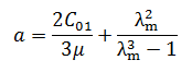
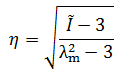
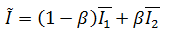
The potential function of the Van der Waals material is as follows:

where

Material Properties: