The results options discussed on this page are located under one of the following three ribbon tabs:
The following are the definitions and uses of the buttons available in the Load Case Options panel. This submenu will only be available if the current model has multiple load cases.
Load case and time step in a dynamic analysis can be thought of as equivalent terms: they represent one set of results due to particular load combinations or at a particular instant in time.
When the Automatic Advance command is activated, the results will update when new results become available. If the command is deactivated, either by turning it off or by choosing a different load case, then new results will not be displayed when they are calculated.
The analysis is considered to be ongoing whenever the analysis window is opened, even if the analysis itself has completed.
When viewing the results of a Response Spectrum analysis and the calculation method is either the NRC Reg. Guild 1.92 or Modified Procedure, then the Results Options
Analysis Specific
Spectrum Component is available. Individual results are given for each spectrum loading direction (the X, Y, Z direction factors in the Analysis Parameters) and each natural frequency. The Spectrum Component command sets which loading direction is shown, and Results Contours
Load Case Options sets which natural frequency is shown.
This command will only be available for a response spectrum, random vibrations, and dynamic design analysis method (DDAM) analyses. This will be active by default. The display will show the resultant of all the natural frequencies used in the analysis. To view the individual components of the natural frequencies, deactivate this command. Each natural frequency will now be displayed as a separate load case.
This command will only be available for a frequency response analysis. You will have the option of viewing the in-phase, out-of-phase or SRSS (square root sum of squares) results for each applied frequency.
The Smooth Results command is used to produce a smoother display of the displayed model, without abrupt transitions between colors. For results that are element based (such as stress), the values at the nodes are calculated independently in each element. Therefore, a step change or discontinuity can exist across an element boundary. The differences are a natural result of the FEA process. To some degree, the actual stress may be close to the average of all the different stresses at the node. This is what the Smooth Results command does: it averages the results between adjacent elements and displays that average at the node.
This approach is reasonable provided that the model is continuous. If the model has a step change (such as a change in plate element thickness), then the stresses at the boundary between the different parts should not be averaged (and are not averaged by default).
If the Smooth Results command is not activated, the data will be viewed in the raw form, so each node will have multiple results (one result for each element attached to the node).
For results that are nodal based (displacement, temperature, velocity, and so on), there is only one value at a node, so the Smooth Results command has no effect.
When this command is selected, the Smoothing Options dialog will appear.
Settings
Smooth Results. When the Smooth before applying operators box is not activated, the calculations are made in the following order:
When the Smooth before applying operators box is activated, the order of the last two calculations is swapped.
This can yield significantly different results wherever the base result has a sharp change across multiple elements at a single node. For example, take the following results from a 2D stress analysis. The two elements are connected at the common node number 21.
| Stress Value | Element 10, Node 21 | Element 11, Node 21 | Mean Value |
|---|---|---|---|
| Stress YY | 1,635.8 | 362.5 | 999.2 |
| Stress ZZ | 425.7 | 8.8 | 217.3 |
| Shear YZ | -294.4 | 534.1 | 119.9 |
| von Mises | 1,555.9 | 992.0 | 1,274.0 |
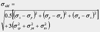
Using the mean smoothing function and for smoothing after applying the operators (Smooth before applying operators is unchecked), the final result for the calculation of the von Mises stress would be the average of the two individual von Mises stresses, or 0.5*(1,555.9+992.0) = 1,273.9. For smoothing before applying the operators, the final result would be the von Mises equation using the mean value of the stress tensors, or
= 933.6. This hypothetical model has a large change in stress between adjacent elements and the mesh should be refined. In areas with no large discontinuity in the base results between neighboring elements, Smooth before applying operators should cause no large change in the plotted result. When plotting scalars or individual components of tensors or vectors, the Smooth before applying operators check box will have no visible affect at all other than a small performance penalty.
For the factor of safety calculation, imagine a yield stress of 2000. For smoothing after applying the operators, the factor of safety would be the average of the individual factors of safety, or 0.5*(2000/1555.9+2000/992.0) = 1.65. For smoothing before applying the operators, the stress components are smoothed first, then the one von Mises stress is calculated, then the one factor of safety value is calculated, or 2000/933.6 = 2.14.
For another example, take a hypothetical model where heat is flowing directly away from a nodal heat source at an equal rate, in opposite directions through two different elements using the node. (Keep in mind that heat flux is a vector result.) Realizing that magnitude is an operation on individual vector components, mean heat flux magnitude would be some positive value X when smoothing after applying operators (calculate the magnitude of each vector, then average) but would be zero when smoothing before applying operators (mean of two equal, opposing vectors, then calculate the magnitude).
The table below summarizes these examples.
| Smooth after applying operators | Smooth before applying operators | |
|---|---|---|
| von Mises stress |
|
where all the six stress components are smoothed. |
| Factor of safety |
|
|
| Magnitude of heat flow vector |
|
|
Similarly, Smooth before applying operators can have a large effect when using the Absolute Value operator with base values of different sign at a single node, or when using the von Mises operator on tensors that have similar principal values but different principal directions.
If this command is activated, the absolute values of the contour will be displayed. If you are using the Smooth Results command, the absolute values will be used for the smoothing at each node.
If this command is activated, the elements will be contoured according to the node with the highest stress display value. This can be used along with the Absolute Value command. This option will not be available if the Smoothing Options command is active.
If this command is activated, the factor of safety for the selected stress contour will be shown. The factor of safety is the ratio of the allowable stress to the actual stress. A factor of safety of 1 represents that the stress is at the allowable limit. A factor of safety of less than 1 represents failure. A factor of safety greater than 1 represents an acceptable analysis. The allowable stresses can be assigned on a per part basis by selecting the Set Allowable Stress Values command.
See the section Smoothing Options for important information about how the Smooth before applying operators option will effect the factor of safety calculation.
When this command is selected, the Allowable Stress Values dialog will appear. Each part will be listed in a separate row. You can either specify a value in the Allowable Stress column or press the Load Yield Stress or Load Ultimate Stress buttons to load the values from the material library. If no value exists, the allowable stress will be set to 0. Any parts for which the allowable stress is set to 0 will be excluded from the factor of safety calculations.
If this command is activated, the displaced model will be shown at the default scale. You can modify the scale using the Displaced Model Options command.
When this command is selected, the Displaced Model Options dialog will appear.
View Settings
Transparency Level. When this command is selected, the current results contour will be displayed as isolines connecting the locations of identical results. The isoline settings can be modified by selecting the Isoplots Options command.
When this command is selected, the current results contour will be displayed as isosurfaces connecting the locations of identical results. The isosurface settings can be modified by selecting the Isoplots Options command.
This command will access the Isoplots Options dialog which will be used to control the settings of both isolines and isosurfaces on the model.
View Settings
Transparency Level. If you only want a single isoline or isosurface to be displayed at a specific value, select the Single radio button in the Number of Increments field and then select the Specify radio button in the Base value at field. Enter the value in the adjacent field.
If you want the isolines or isosurfaces to be evenly spaced based on the maximum and minimum values in the current display, select the increments on current range radio button in the Number of Increments section and specify the number of isolines or isosurfaces that you want to be generated in the adjacent field. The difference between the maximum and minimum values will be divided by the specified value. Isolines or isosurfaces will be generated at this interval. If the Minimum of current result or Maximum of current result radio buttons are selected in the Base value at section, the isolines or isosurface will start at the minimum value and will end at the maximum value. If the Specify radio button is selected, the first isoline or isosurface will appear at the value in the adjacent field. The rest of the isolines or isosurfaces will be generated at the specified intervals above and below that value.
To specify the interval between the generated isolines or isosurfaces, select the Increment every radio button in the Number of Increments section and enter the interval in the adjacent field. If you want the first isoline or isosurface to be drawn at the minimum value and the subsequent isolines or isosurfaces to be drawn at the specified interval above that value, select the Minimum of current result radio button in the Base value at section. If you want the first isoline or isosurface to be drawn at the maximum value and the subsequent isolines or isosurfaces to be drawn at the specified interval below that value, select the Maximum of current result radio button in the Base value at section. If you want the first isoline or isosurface to be drawn at a specific value and the subsequent isolines or isosurfaces to be drawn at the specified interval above or below that value, select the Specify radio button in the Base value at section and enter the value in the adjacent field.
When this command is selected, the General Surface Contact Options dialog will appear.
This command is only available for structural analyses.
This command will only be available for structural analyses. When this command is selected, the Thick/Thin Composite Options dialog will appear.
This command will only be available for stress analyses. If this command is active, the stress and strain tensors will be displayed in element local coordinates when you select the Results Contours
Stress
Tensor or Results contours
Strain
Tensor, respectively.
When displaying results in element local coordinates, the legend will display 1 for the X direction, 2 for the Y direction, and 3 for the Z direction. For example, choosing Results: Stress: Stress Tensor: XY will display the shear stress in the local 1-2 coordinate system.
The directions of the Element Local results depend on the type of element. See the following table and figures. In each of the figures, both 3-node and 4-node elements are shown. The dots on the j-k and i-l sides are at the midpoints of the edges and are used to define the local 1 axis (or local a axis for composite elements) for linear stress analysis. For nonlinear stress, local axis 1 (or local a axis for composite elements) is parallel to the i-j edge. The user-defined Element Normal point then defines the direction of axis 3; for 2D elements, the local axis 3 is always in the global +X direction. The right-hand rule then determines the direction of axis 2 (or local b axis for composites).
View
Element Orientation command. For composite elements, the element orientations show the a-b-c axes. For all other element types, the element orientations show the 1-2-3 axes. See the figures below. | Element Type | Element Local results are in... |
|---|---|
| Linear 2-D | Element coordinates (1-2-3). See Figure 1 |
| Linear Membrane | Element coordinates (1-2-3). See Figure 2 |
| Linear Plate | Element coordinates (1-2-3). See Figure 3 |
| Linear and Nonlinear Brick | Global coordinates (X-Y-Z). |
| Linear and Nonlinear Tetrahedron | Global coordinates (X-Y-Z). |
| Linear Thick and Thin Composite | Lamina (fiber) coordinates (1-2-3). See Figure 4. |
| Nonlinear 2-D, Membrane, and Shell | Element coordinates (1-2-3). See Figure 5. |
| Nonlinear Composite | Lamina (layer or fiber) coordinates (1-2-3). See Figure 6. |
| Table 1: Direction of Element Local Results | |
Figure 1: Element Local Results for Linear 2D Elements
Figure 2: Element Local Results for Linear Membrane Elements
Figure 3: Element Local Results for Linear Plate Elements
Figure 4: Element Local Results for Linear Composite Elements are in the 1-2-3 direction.
The element local axes (a-b-c) are based on the i-j-k-l sides. The Laminate or Material axes (x-y-z) are rotated α degrees from the element axes (a-b-c). (The material axes are set in the Element Definition on the General tab.) The Lamina axes (1-2-3) are rotated ϑ degrees from the Laminate axes. Axis 1 is parallel to the fibers for each lamina. (The lamina axis is set in the Element Definition on the Laminate tab using the Orientation Angle.)
Figure 5: Element Local Results for Nonlinear Elements
2D, Membrane, and Shell (except for Composite) The local 1 axis is parallel to the i-j side.
Figure 6: Element Local Results for Nonlinear Composite Elements are in the 1-2-3 direction.
The element local axis a is parallel to the i-j side. The Laminate or Material axes (x-y-z) are rotated b degrees from the element axes (a-b-c). (The material axes are set in the Element Definition on the General tab.) The Lamina axes (1-2-3) are rotated a degrees from the Laminate axes. Axis 1 is parallel to the fibers for each lamina. (The lamina axis is set in the Element Definition on the Composite tab using the Orientation Angle.)
This command is only available for nonlinear analyses and applies to the element results (stress, strain).
If activated, the result calculated at the Gaussian points are shown in place of the result at the corner node. (Only the Gaussian points closest to the corner nodes are shown.)
This command is only available for structural analyses. Use to quickly verify your model boundary conditions by displaying constraints based on the movement directions or degrees of freedom (DOF) they restrict. If you select exactly the DOF check boxes that correspond to the DOF restricted by a constraint, a triangle displays for the constraint. If you select some of the check boxes that correspond to the DOF restrictions of a constraint, a circle displays for the constraint. If you do not select any check boxes that correspond to a constraint, no symbol displays for the constraint. By default, all check boxes are selected so that constraints which restrict all available DOF display as triangles.
For example, one constraint has the translation in the X and Y directions fixed and another has only the X direction fixed. If you select only the Y Translation check box, the first constraint appears as a circle and the second constraint disappears. If you then also select X Translation, the first constraint displays as a triangle and the second constraint displays as a circle.