織物複合材料の破損基準

織物複合材料の破損基準を確認します。

前述のとおり、同じ繊維破損基準が織物複合材料と一方向複合材料に使用されます。極限複合材料強度 +-、および は繊維破損係数を直接計算するために使用されます。

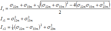
次に示す織物複合材料に使用される母材破損基準に含まれる係数は 3 つなので、必要な強度の値は 3 つだけです。極限強度に対応する Knee 点強度 +-、および は、これらの係数を直接計算するために使用されます。

ここで、