Christensen 基準では、複合材料の次の 6 つの基本的な強度を使用して 2 つの異なる破損モード、母材破損と繊維破損を識別します。
= 縦方向の引張破損における σ11 の値
= 縦方向の圧縮破損における σ11 の値
= 横方向の引張破損における σ22 の値
= 横方向の圧縮破損における σ22 の値
= 縦方向のせん断破損における σ12 の値
= 横方向のせん断破損における σ23 の値
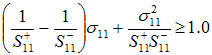
母材の破損基準は、次の式で示します。
ここで、横方向のせん断強度 S23 は以下を満たすために必要です。
繊維の破損基準は、次の方程式で示します。
