Hashin 基準は、複合材料の 4 つの異なる破損モード(繊維引張破損、繊維圧縮破損、母材引張破損、母材圧縮破損)を識別します。
= 縦方向の引張破損における σ11 の値
= 縦方向の圧縮破損における σ11 の値
= 横方向の引張破損における σ22 の値
= 横方向の圧縮破損における σ22 の値
= 縦方向のせん断破損における σ12 の値
横方向せん断破損時の
= σ23 の絶対値
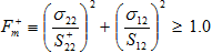
である場合、繊維の引張破損基準は、次の方程式で示します。
である場合、繊維の圧縮破損基準は、次の方程式で示します。
である場合、母材の引張破損基準は、次の方程式で示します。
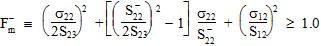
である場合、母材の圧縮破損基準は、次の方程式で示します。
および S23 は、ユーザが指定する必要があります。
: 繊維引張破損に対する縦方向せん断応力の影響を決定するユーザ指定係数です。許容される範囲は 0.0 ≤
≤ 1.0 で、既定値は
=0 です。