かさ歯車の基本ジオメトリの計算

入力パラメータ

歯車の種類: ルートとヘッドの円錐の位置により決定

歯数比と歯数

圧力角(ツール プロファイルの角度) α t

ねじれ角 β m

軸角 Σ

外部円錐の接線モジュール met (メートル計算)

外部円錐の接線方向ピッチ円直径 Pet (英国単位)

注: モジュールとピッチ円直径の値は逆数です。

単位歯末高さ ha *

単位クリアランス c *

単位歯元 r f *

歯幅 b 1 、b 2

単位修正 x = x 1 = - x 2

歯厚の単位変更 x t = x t1 = - x t2

補助ジオメトリ計算

単一歯車の単位修正の分布

強度計算に従った設計

歯幅の設計

最大歯元フィレット処理の計算

計算パラメータ

 

中間平面の圧力角

 

tg α nm = tg α t cos β m

ピッチ角度

 

ピッチ外径

 

d e1,2 = m et z 1,2

ピッチ円錐のサーフェス ラインの外周の長さ

 

平均円錐のサーフェス ラインの長さ

 

R m = R e - 0.5 b

相対歯幅

 

平均円錐の接線モジュール

 

平均円錐の歯直径モジュール

 

m mn = m mt cos β m

ピッチ平均径

 

d m1,2 = m mt z 1,2

歯の同等数

 

Ekvivalent ピッチ円直径

 

Ekvivalent 基準円直径

 

d vb1,2 = d v1,2 cos α t

Ekvivalent 外径

 

d va1,2 = d v1,2 + 2 h ae1,2 m mt / m et

Ekvivalent 中心距離

 

a v = 0.5 (d v1 + d v2 )

仮想歯数比

 

仮想歯数

 

仮想ピッチ円直径

 

仮想基準円直径

 

d bn1,2 = d n1,2 cos α t

仮想外径

 

d an1,2 = d n1,2 + 2 h ae1,2 m mt / m et

基準円筒の仮想ねじれ角

 

sin β b = sin β m cos α nm

仮想中心距離

 

a n = 0.5 (d n1 + d n2 )

歯元の減少

 

k 1,2 = 0.02 (17 - z n1,2 )

k > 0 の場合、歯元を短縮

歯末の丈

 

h ae1,2 = m et (h a * + x 1,2 - k 1,2 )

歯元

 

hf e1,2 = m et (h a * + c * - x 1,2 )

外径

 

d ae1,2 = d e1,2 + 2ha e1,2 cos δ 1,2

ルート径

 

d fe1,2 = d e1,2 - 2 hfe1,2 cos δ 1,2 )

小端の外径

 

d ai1,2 = d ae1,2 (1 - φ R )

頂点距離

 

A 1,2 = R e cos δ 1,2 - h ae1,2 sin δ 1,2

外部ベベル角

 

切断角

 

歯厚(ピッチ円直径で通常に測定)

 

弦歯幅(通常)

 

s ke1,2 = s e1,2 cos 2 α t

弦の上の歯末の高さ

 

単位歯末幅(通常に測定)

 

 

ここで

 
   

歯車の操作幅

 

b w = b

メッシュ時間の係数

 

ε γ = ε α + ε β

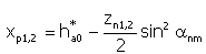
テーパなし最小修正

 

 

ここで

   

h a0 * = h a * + c * - r f * (1 - sin α t )

アンダーカットなし最小修正

 

アンダーカットなし最小修正

 

端のねじれ角

 

sinβ e = sinβ m R m /R e

端の圧力角

 

tanα ne = tanα t cosβe