伝達トルク
ここで
|
P |
伝達動力[Kw] |
|
|
n |
速度[min -1 ] |
溝を支えるサーフェスへの圧力
1. 軸内径 d h > 0
a)
b) d min ≤d h -> d min = 1.1 d h [mm]の場合
c) d min ≤ 1.5 d h -> d min = 1.5 d h [mm]の場合
2. 軸内径 d h = 0
ここで
|
d min |
軸の最小直径[mm] |
|
|
d h |
軸の内径[mm] |
|
|
T |
トルク[Nm] |
|
|
K a |
適用係数 |
|
|
K f |
疲れ寿命係数 |
|
|
S v |
必要な安全性 |
|
|
τ Al |
許容せん断応力 |
トルク伝達の最小スプライン長さ
|
1. 固定接続 |
![]() |
|
2. フレキシブルな接続 |
![]() |
|
ここで |
|
T |
トルク[Nm] |
|
|
K a |
適用係数 |
|
|
K f |
摩耗寿命係数 |
|
|
K w |
適用係数 |
|
|
K m |
荷重分布係数 |
|
|
S v |
必要な安全性 |
|
|
d s |
中央直径 = (D + d) / 2 [mm] |
|
|
D |
溝の断面の外径 [mm] |
|
|
d |
溝の断面の内径 [mm] |
|
|
N |
溝の数[-] |
|
|
h |
溝の高さ = (D - d) / 2 [mm] |
|
|
s |
面取り[mm] |
|
|
h st |
接続高さ h st = h - 2 s [mm] |
|
|
p Dmin |
軸または溝のサーフェスを支える許容圧力[MPa] |
許容圧力
|
1. 固定接続 |
![]() |
|
2. フレキシブルな接続 |
![]() |
|
ここで |
|
T |
トルク[Nm] |
|
|
K a |
適用係数 |
|
|
K f |
摩耗寿命係数 |
|
|
K w |
適用係数 |
|
|
K m |
荷重分布係数 |
|
|
S v |
必要な安全性 |
|
|
d s |
中央直径 = (D + d) / 2 [mm] |
|
|
D |
溝の断面の外径 [mm] |
|
|
d |
溝の断面の内径 [mm] |
|
|
N |
溝の数[-] |
|
|
h |
溝の高さ = (D - d) / 2 [mm] |
|
|
s |
面取り[mm] |
|
|
h st |
接続高さ h st = h - 2 s [mm] |
|
|
l f |
有効なキーの長さ[mm] |
強度チェック
p min ≤ p ds
p min ≤ p dh
ここで
|
P min |
計算された最小 h/2 圧力[MPa] |
|
|
p ds |
軸における許容圧力[MPa] |
|
|
p dh |
ハブにおける許容圧力[MPa] |
CSN 01 4950 に準拠したメートル式計算
曲げ応力
ここで
|
s sf |
シャフトの弦歯の歯元の丈の厚さ |
s sf = 2.17m |
|
|
h |
シャフトの歯高さ |
h = 1.1m - 0.05 |
歯すじへの中心合わせ、溝の平底 |
|
h = 1.28 m - 0.05 |
歯すじへの中心合わせ、溝の丸底 |
||
|
h = 1.2 m |
外側の中心合わせ |
溝を支える溝サーフェスへの圧力
ここで
|
h n |
耐荷重スプライン高さ |
h n = 0.9 m - 0.05 |
最小スプライン長さ
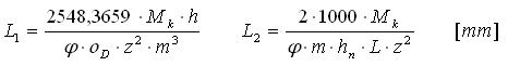
L min = max {L 1 , L 2 } [mm]
ここで
推奨値: L = (0.8 - 1.6) D
スプライン チェック
p ≤ p d および σ≤σ d
ここで
|
P |
伝達動力 [kW] |
|
|
n |
速度[min -1 ] |
|
|
z |
歯の数 [-] |
|
|
p D |
歯の接触サーフェスの許容圧力 [MPa] |
|
|
σ D |
許容曲げ応力 [MPa] |
|
|
L |
有効スプライン長さ [mm] |
|
|
D |
スプラインの呼び径 [mm] |
|
| ϕ |
歯すじのかみ合い係数 |