チェーン長はリンク数とピッチで決まります。チェーン ドライブの軌道は個々のスプロケットの位置と回転方向に基づきます。
チェーン長の計算アルゴリズムではスプロケットのピッチ円直径が使用されます。チェーン ドライブのスプロケットやアイドラーのピッチ円直径は、下に示す式で求められます。
スプロケットのスライド位置を調整し、必要なチェーン長になるようにします。計算は線形代数による解法を繰り返すことで行われ、スプロケットの適切なスライド位置を求めます。
チェーン長の計算の際、チェーンの軌跡はチェーン ピッチの長さをもつ直線で構成される多角形であることが考慮され、円弧は折れ線に置き換えられます。
ピッチ円直径
![]() |
|
|
|
ここで |
||
|
D P |
ピッチ円直径 |
|
|
p |
チェーン ピッチ |
|
|
z |
スプロケットの歯数 |
|
|
|
D p = D + D r |
|
|
ここで |
||
|
D P |
ピッチ円直径 |
|
|
D |
アイドラーの呼び径 |
|
|
D r |
チェーン ローラ最大直径 |
|
2 個のスプロケットが付いたチェーン ドライブの例
目的の中心距離にするために必要なチェーン リンク数
必要なチェーン リンク数は、最も近い偶数または奇数に丸められます。その結果得られる実際の中心距離は、次の式で求められます。
C = F p [ 2 X - (z 1 + z 2 )]
ここで
|
|
|
|
|
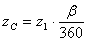
接触弧の角度は次の式で求められます。
|
|
小スプロケットに接触する歯の数
|
|
使用される変数の意味:
|
C 0 |
目的の中心距離[m] |
|
C |
実際の中心距離[m] |
|
p |
チェーン ピッチ[m] |
|
z 1 |
駆動スプロケットの歯数[-] |
|
z 2 |
従動スプロケットの歯数[-] |
|
D P1 |
駆動スプロケットのピッチ円直径[m] |
|
D P2 |
従動スプロケットのピッチ円直径[m] |
|
X 0 |
必要なチェーン リンク数[-] |
| β |
接触弧の角度[度] |