歯付きベルトの強度比を計算する

各プーリの場合

F 2 - F 1 + F p = 0

駆動プーリの場合

v v max

f b f max

F c = mv 2

F Tmax = k 1 F p + F c

F 1 = F tmax

F 2 = F 1 - F p

個々の被駆動プーリおよびアイドラーの場合

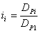
プーリのインデックス i

F Pi = P xi F p

F 1i = F 2i-1

F 2i = F 1i + F p i

ここで

同期プーリの場合

平プーリの場合

ベルト駆動全体の場合

必要なベルト取り付け張力は、以下のように駆動プーリでの力から求められます。

アイドラーでの動力伝達の例

駆動プーリ

フラット アイドラー

被駆動プーリ

P x1 = 1

P x2 = 0

P x3 = 1

F P3 = P x3 F p

F 12 = F 21

F 22 = F 12 + F p2 = F 12

F c = m v 2

F Tmax = k 1 F p + F C

-

F 13 = F 22

F 11 = F Tmax

-

F 23 = F 13 + F p3 = F 11

F 21 = F 11 - F p

-

-

-

使用される変数の意味:

F p

有効張力[N]

F 1

指定プーリの入力側のベルト張力[N]

F 2

指定プーリの出力側のベルト張力[N]

z

指定プーリの歯数/ベルトの歯数[-]

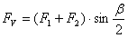
β

接触弧/歯の側面傾斜角[度]

P

伝達する動力[W]

P R

指定トランスミッション レイアウトのベルト定格動力[W]

c L

稼働係数[-]

β

接触弧[度]

T

指定のプーリに作用するトルク[Nm]

n

指定のプーリの速度[rpm]

D p

ピッチ プーリの直径[m]

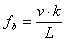
v

ベルト速度[m/秒]

k

ベルト駆動内のプーリの数[-]

L

ベルト ピッチの長さ[m]

P

伝達する動力[W]

m

指定した幅での特定ベルト重さ[Kg/m]

k 1

ベルト張力係数[-]

F p

有効張力[N]

F c

遠心力[N]

F t

ベルト取り付け張力[N]

P xi

指定のプーリの動力比[-]

D pi

ピッチ プーリの直径[m]

i

指定のプーリの動力比(速度比) [-]

T i

指定のプーリに作用するトルク[Nm]

η

効率[-]

p b

円ピッチ[m]

D

平プーリの呼び径[m]

H

ベルト高さ[m]

h T

ベルトの歯高さ[m]

a

ピッチ線オフセット[m]

注: i = プーリのインデックス

計算の基本