シャフトの計算式

これらの式は、複数の支持や荷重を使用してシャフト(1 つまたは複数の断面がある)または梁(1 つの一定の断面がある)のいずれかの解を求めるのに使用されます。

シャフト/梁の軸は Z 軸と位置合わせされます。材料密度の影響が計算に含まれている場合、重力ベクトルは Y 軸と位置合わせされます。

せん断力:

曲げモーメント:

たわみ角度:

ここで

 

E

引張状態における弾性係数

 

J

慣性モーメント

 

G

横弾性係数

  β

せん断変位率

たわみ:

曲げ応力:

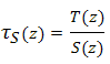
せん断応力:

ねじり応力:

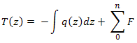
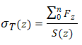
引張応力:

減少応力:

ここで

  σ B 曲げ応力
  σ T

引張応力

  τ ねじり応力
  τ S せん断応力
  α α = 3 (HMH の場合)
    α = 4 (Tresca-Guest の場合)

計算例

引張弾性係数 E = 210 000 MPa

横弾性係数 G = 81 000 MPa

せん断変位率β = 1.118

減少応力のモード: HMH

材料密度を含めないでください。

支持力:

最大せん断応力:

最大ねじり応力:

最大モーメント:

最大曲げ応力:

最大減少応力:

ねじり角: