英国計算の分割ハブの式

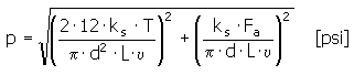
接触圧力

ハブの長さの最小値

推奨値: L = (0.6 - 3) d

1 本のボルトの載荷力

強度チェック

p p A

ここで

 

F a

スラスト荷重[lb]

 

T

トルク[lb ft]

 

d

軸径[インチ]

 

p

ジョイントにおける接触圧力[psi]

 

p A

許容圧力[psi]

 

L

ハブの長さ[インチ]

  υ

締付け係数 υ = 0.008~0.1 [-]

 

k s

すべり安全率[-]

 

F

1 本のボルトの載荷力[lb]

 

F s

すべてのボルトの載荷力[lb]

 

i

ボルトの合計数[-]