アンダーフィル粘度モデルは、Herschel-Bulkley-WLF 粘度モデルを熱硬化性樹脂向けに変更したもので、特にアンダーフィル封止成形用に使用されます。
アンダーフィル粘度モデルには、次に示すように、追加の条件
(肉厚)が含まれます。
ここで、
は粘度(パスカル sec)です
はキャビティの肉厚(m)
は参照肉厚
での粘度、および
および
はデータ フィッティング係数 参照肉厚での粘度は、次の方程式で計算されます。
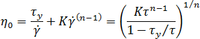
ここで、
は粘度(Pa s)
はせん断速度(1/s)
は温度(K)
は硬化度(0~1)
、
、
、
、
、
、
、
、および
(ゲル化コンバージョン)はデータ フィッティング係数