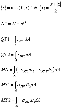
The equivalent resultant forces available in the result table are calculated based on the following formulas
<…> - (Macauley brackets) or the positive part operator expressed as: