解析特性
参考文献
Massey, Bernard Stanford, Mechanics of Fluids, 3rd Edition, Van Nostrand Reinhold Co, 1975, p. 347.
問題の説明
このモデルでは、チタン製の球がグリセリンの柱の中に落とされます。モーション機能を使って球の終末速度を調べます。
落下するオブジェクトはオブジェクトの重量が周囲の流体による浮力と抗力によってバランスされたときに終末速度に達します。
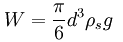
W = Fb + D
W = オブジェクトの重量
Fb = 浮力
D = 抗力
球の場合、上記の式の3つの量は次のようになります。
終末速度の結果は次のようになります:
ここで、
= 流体密度
s = 固体密度
= 球の投影領域 ジオメトリと境界条件
寸法はメートルで表されています:
モデルは軸対称として解析されました。
結果
| ベンチマーク | 2015: ビルド 20131223 | 誤差 % | 2016: Build 20150209 | 誤差 % |
| Vt (m/s) = 6.469 | Vt (m/s) = 6.157 | 4.83 | Vt (m/s) = 6.149 | 4.94 |