ゼロ方程式乱流モデル

Autodesk® CFD では、流体の渦粘性係数と熱伝導率の決定にゼロ方程式乱流モデルを利用することもできます。

ゼロ方程式モデルの最初のモデルは、「Eddy Viscosityモデル」と呼ばれています。このモデルでは、渦粘性は次の式に従い定数で与えられます。

この方程式において、Rは乱流/層流比、もしくは渦粘性係数と層流もしくは絶対粘性係数との比です。

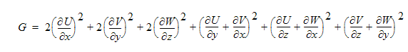
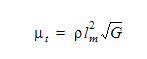
混合長乱流モデルでは、渦粘性係数は次式で与えられます。

ここで

は流体の密度で、lm は混合距離です。

乱流境界層内では、混合距離は以下の式で計算されます。

ここで、は前述の壁関数のパラメータ、sは壁からの垂直距離です。

境界層の外側では、渦粘性は一定でありこのページの最初の方程式で与えられます。