벨트 피치 길이는 벨트 톱니 수와 원형 피치에 의해 제공됩니다. 벨트 궤적은 개별 풀리 위치를 기준으로 합니다. 각 풀리의 피치 지름은 다음 방정식에 따라 결정됩니다. 슬라이딩 풀리 위치는 표준 벨트 길이 기준을 만족하도록 조정됩니다. 계산에서는 반복된 방법을 사용하여 원하는 슬라이딩 풀리 위치와 가장 가까운 슬라이딩 풀리 위치를 찾아냅니다.
정확한 피치 지름 결정
|
|
시계방향 동기식 풀리 또는 양면 벨트 |
|
|
|
|
|
시계방향 플랫 풀리 또는 양면 벨트 |
|
D p = D + 2(a + h t ) |
|
|
|
반시계방향 동기식 풀리와 단면 벨트 |
|
D p = D 0 + 2(H - a - h t ) |
|
|
|
반시계방향 플랫 풀리와 단면 벨트 |
|
D p = D + 2(H - a - h t ) |
풀리 두 개를 사용한 전동의 예
접촉 호
피치 벨트 길이
중심 거리
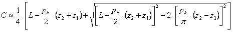
다음 공식은 새로운 구동 중심 거리를 결정할 때 권장됩니다.
0.2 p b (z 1 + z 2 ) ≤ C ≤ 0.7 p b (z 1 = z 2 )
사용된 변수의 의미:
|
z |
주어진 풀리의 톱니 수/벨트 톱니 수 [-] |
|
p b |
원형 피치 [m] |
|
D |
공칭 플랫 풀리 지름 [m] |
|
a |
피치 선 간격띄우기 [m] |
|
h t |
벨트 톱니 높이 [m] |
|
D 0 |
외부 동기식 풀리 지름 [m] |
|
H |
벨트 높이 [m] |
|
C |
주어진 풀리와 연동 풀리의 중심 거리 [m] |
| β |
접촉 호 [도] |